57 svar
965 visningar
destiny99 behöver inte mer hjälp
destiny99 Online 11560
Postad: 13 dec 2023 14:55

Spegling i linjer

Hej!

Jag skulle behöva vägledning med denna fråga. 

PATENTERAMERA 7896
Postad: 13 dec 2023 15:23

Vad får du om du speglar vektorn xy i x-axeln?

destiny99 Online 11560
Postad: 13 dec 2023 15:45
PATENTERAMERA skrev:

Vad får du om du speglar vektorn xy i x-axeln?

Då får jag( -x ,-y)?

PATENTERAMERA 7896
Postad: 13 dec 2023 15:51

Nja, det är väl spegling i origo.

destiny99 Online 11560
Postad: 13 dec 2023 15:54 Redigerad: 13 dec 2023 15:55
PATENTERAMERA skrev:

Nja, det är väl spegling i origo.

Oj men då vet jag ej. Jag har ej lätt för speglingar och blir bara förvirrad av begreppet. Jag trodde man menade spegelbilden av (x,y) som jag tänkte på var (-x,-y).

PATENTERAMERA 7896
Postad: 13 dec 2023 16:32

destiny99 Online 11560
Postad: 13 dec 2023 16:40
PATENTERAMERA skrev:

Jaha det är spegling med pi/9 medurs kring x axeln? Då får vi ju (x,-y).

PATENTERAMERA 7896
Postad: 13 dec 2023 16:48

Nja det är spegling i x-axeln. Du har dock rätt i att det blir (x, -y).

destiny99 Online 11560
Postad: 13 dec 2023 16:59 Redigerad: 13 dec 2023 16:59
PATENTERAMERA skrev:

Nja det är spegling i x-axeln. Du har dock rätt i att det blir (x, -y).

Aha okej. Det är alltså S0?

PATENTERAMERA 7896
Postad: 13 dec 2023 17:13

Ja.

destiny99 Online 11560
Postad: 13 dec 2023 17:25 Redigerad: 13 dec 2023 17:26
PATENTERAMERA skrev:

Ja.

Okej nu behöver vi titta på spegling runt x axeln på andra sidan  dvs andra kvadranten och fjärde kvadranten?

PATENTERAMERA 7896
Postad: 13 dec 2023 17:33

Nej. (x, y)(x, -y) funkar överallt.

Kan du hitta en matris A sådan att Axyx-y?

destiny99 Online 11560
Postad: 13 dec 2023 17:47
PATENTERAMERA skrev:

Nej. (x, y)(x, -y) funkar överallt.

Kan du hitta en matris A sådan att Axyx-y?

Varför funkar det överallt? Ja det finns [ 1 -1] som ger [ x -y]

D4NIEL 3515
Postad: 13 dec 2023 17:59

A ska vara en 2x2-matris, inte en vektor.

destiny99 Online 11560
Postad: 13 dec 2023 18:12
D4NIEL skrev:

A ska vara en 2x2-matris, inte en vektor.

Ja A = [ 10 0 -1]

PATENTERAMERA 7896
Postad: 13 dec 2023 18:13

Rätt.


Tillägg: 13 dec 2023 18:14

Dvs 100-1

destiny99 Online 11560
Postad: 13 dec 2023 18:16 Redigerad: 13 dec 2023 18:16
PATENTERAMERA skrev:

Rätt.


Tillägg: 13 dec 2023 18:14

Dvs 100-1

Så när man speglar [x y] i x-axeln så använder man matrisen ovan för att få den speglingen? 

PATENTERAMERA 7896
Postad: 13 dec 2023 18:18

Ja. Testa vad du får

100-1xy= … .

destiny99 Online 11560
Postad: 13 dec 2023 18:48 Redigerad: 13 dec 2023 18:50
PATENTERAMERA skrev:

Ja. Testa vad du får

100-1xy= … .

Ja jag får ju [x,-y]. Men hur vet man att spegling runt x axeln innebär just det? Varför funkar ej spegling mellan andra och tredje kvadranten i xy-planet ?

PATENTERAMERA 7896
Postad: 13 dec 2023 19:07

Vad menar du med spegling mellan andra och tredje kvadranten?

destiny99 Online 11560
Postad: 13 dec 2023 19:13
PATENTERAMERA skrev:

Vad menar du med spegling mellan andra och tredje kvadranten?

Du visade en bild på spegling i x axeln som sker i första och fjärde kvadranten.men du visade ingen spegling i x axeln vid andra och fjärde kvadranten. 

PATENTERAMERA 7896
Postad: 13 dec 2023 19:21

Formeln fungerar oavsett i vilken kvadrant som (x, y) ligger. Testa tex (x, y) = (-4, 3).

destiny99 Online 11560
Postad: 13 dec 2023 19:24
PATENTERAMERA skrev:

Formeln fungerar oavsett i vilken kvadrant som (x, y) ligger. Testa tex (x, y) = (-4, 3).

Vilken formel? Ja om vi speglar (-4,3) i andra kvadranten till tredje kvadranten så får vi (-4,-3)

PATENTERAMERA 7896
Postad: 13 dec 2023 19:27

’Om du har en linje L och vill spegla en vektor v i denna linje så gör man så här generellt.

Dela up vektorn v i en del v’ som är parallell med linjen och en del v’’ som är vinkelrät mot linjen. vv’ + v’’.

Den speglade vektorn S(v) ges då av

S(v) = v’ - v’’. Dvs den vinkelräta delen byter riktning.

PATENTERAMERA 7896
Postad: 13 dec 2023 19:27
destiny99 skrev:
PATENTERAMERA skrev:

Formeln fungerar oavsett i vilken kvadrant som (x, y) ligger. Testa tex (x, y) = (-4, 3).

Vilken formel? Ja om vi speglar (-4,3) i andra kvadranten till tredje kvadranten så får vi (-4,-3)

Ja, precis.

destiny99 Online 11560
Postad: 13 dec 2023 19:39
PATENTERAMERA skrev:

’Om du har en linje L och vill spegla en vektor v i denna linje så gör man så här generellt.

Dela up vektorn v i en del v’ som är parallell med linjen och en del v’’ som är vinkelrät mot linjen. vv’ + v’’.

Den speglade vektorn S(v) ges då av

S(v) = v’ - v’’. Dvs den vinkelräta delen byter riktning.

Såhär?

PATENTERAMERA 7896
Postad: 13 dec 2023 20:03

destiny99 Online 11560
Postad: 13 dec 2023 20:12
PATENTERAMERA skrev:

Aha men vad är skillnaden mellan din och min bild?

PATENTERAMERA 7896
Postad: 13 dec 2023 20:20

Jag har lite svårt att se vad som är v i din figur.

destiny99 Online 11560
Postad: 13 dec 2023 20:23
PATENTERAMERA skrev:

Jag har lite svårt att se vad som är v i din figur.

Ok. Men hur gör vi med spegling för att få matris B?

PATENTERAMERA 7896
Postad: 13 dec 2023 20:30

Om e är en riktningsvektor till linjen L så gäller det att v’ = Proje(v). Från det kan du med lite eftertanke räkna fram en formel för att beräkna speglingen S(v), sedan får du räkna fram den tillhörande matrisen genom att titta på vad som händer med standardbasen.

destiny99 Online 11560
Postad: 13 dec 2023 20:39 Redigerad: 13 dec 2023 20:41
PATENTERAMERA skrev:

Om e är en riktningsvektor till linjen L så gäller det att v’ = Proje(v). Från det kan du med lite eftertanke räkna fram en formel för att beräkna speglingen S(v), sedan får du räkna fram den tillhörande matrisen genom att titta på vad som händer med standardbasen.

Men vi vet ej vilken linje det är ännu. Jag förstår ej vad du menar med " räkna fram en formel för att beräkna speglingen av S(v). " är det ej (1 0 0) -2proje(v) osv när man använder standardbasen ? Men vilken v menar du? 

PATENTERAMERA 7896
Postad: 13 dec 2023 20:50

Vi hade ju en allmän figur med godtycklig vektor v.

vv v’’

S(v) = v’ - v’’.

v’ = proje(v).

Vilket ger S(v) = 2proje(v) - v. Sedan får du sätta in standardbasens vektorer som v i denna formel för att kolonnerna i matrisen B. Du måste också hitta en riktningsvektor e till linjen.

destiny99 Online 11560
Postad: 13 dec 2023 20:59 Redigerad: 13 dec 2023 21:00
PATENTERAMERA skrev:

Vi hade ju en allmän figur med godtycklig vektor v.

vv v’’

S(v) = v’ - v’’.

v’ = proje(v).

Vilket ger S(v) = 2proje(v) - v. Sedan får du sätta in standardbasens vektorer som v i denna formel för att kolonnerna i matrisen B. Du måste också hitta en riktningsvektor e till linjen.

Förresten varför har vi 2projev och ej projev? Om du syftar på linjen y=x så är riktningsvektor (1 1). Jag vet ej vad du menar med e?

PATENTERAMERA 7896
Postad: 13 dec 2023 21:06

Du kan härleda det från de ekvationer jag skrev upp.

destiny99 Online 11560
Postad: 13 dec 2023 21:21
PATENTERAMERA skrev:

Du kan härleda det från de ekvationer jag skrev upp.

Aa jag får 

v-v'=v"

S(v)=v'-v+v'=2v'-v

och v'=proje(v)

Men vad är e nu igen? Enhetsvektor eller menar du riktningsvektor till linjen (x,y)?

PATENTERAMERA 7896
Postad: 13 dec 2023 21:54

Det är en riktingsvektor till linjen. Det kan vara en enhetsvektor men behöver inte vara det.

På B har vi en linje genom origo som bildar vinkeln pi/9 med x-axeln. Kan du tänka ut en vektor e som är parallell med linjen.

destiny99 Online 11560
Postad: 13 dec 2023 22:09
PATENTERAMERA skrev:

Det är en riktingsvektor till linjen. Det kan vara en enhetsvektor men behöver inte vara det.

På B har vi en linje genom origo som bildar vinkeln pi/9 med x-axeln. Kan du tänka ut en vektor e som är parallell med linjen.

men jag vet ej vad linjen som går genom origo med vinkeln pi/9 har för x och y koordinater? Jag gissar att den har [ 1 0] eftersom den går från origo. 

PATENTERAMERA 7896
Postad: 13 dec 2023 22:14

Rita ett koordinatsystem med x- och y-axel. Rita in en linje genom origo som på ett ungefär har vinkeln pi/9 mot x-axeln. Hur ser det ut? Kan du tänka ut någon vektor som är parallell med linjen? Tex kan du tänka dig en enhetsvektor?

destiny99 Online 11560
Postad: 14 dec 2023 08:27
PATENTERAMERA skrev:

Rita ett koordinatsystem med x- och y-axel. Rita in en linje genom origo som på ett ungefär har vinkeln pi/9 mot x-axeln. Hur ser det ut? Kan du tänka ut någon vektor som är parallell med linjen? Tex kan du tänka dig en enhetsvektor?

Jag ritade såhär. Ja en enhetsvektor till linjen y=x skulle kunna vara 1/sqrt(2)(1 1)

PATENTERAMERA 7896
Postad: 14 dec 2023 10:57

Ja, men linjen y = x bildar vinkeln pi/4 med x-axeln. Nu skulle linjen bilda pi/9 med x-axeln.

destiny99 Online 11560
Postad: 14 dec 2023 11:04 Redigerad: 14 dec 2023 11:06
PATENTERAMERA skrev:

Ja, men linjen y = x bildar vinkeln pi/4 med x-axeln. Nu skulle linjen bilda pi/9 med x-axeln.

Ja jag vet men jag vet ej vad den linjen med  pi/9 blir för linje om det ej är y=x. Jag kan tänka mig att vi har koordinaterna cos(pi/9),sin(pi/9). Mer än så kan jag ej komma på.

PATENTERAMERA 7896
Postad: 14 dec 2023 12:28

Men det duger gott. Du har nu en (enhets)vektor e som är riktad längs linjen.

Du kan nu använda formeln för spegling som gavs i #33. Från den kan du sedan räkna ut den tillhörande matrisen B.

destiny99 Online 11560
Postad: 14 dec 2023 12:47
PATENTERAMERA skrev:

Men det duger gott. Du har nu en (enhets)vektor e som är riktad längs linjen.

Du kan nu använda formeln för spegling som gavs i #33. Från den kan du sedan räkna ut den tillhörande matrisen B.

Vad är min enhetsvektor här? Du menar e=1/sqrt(2)(1 1) ? När jag använder formeln för speglingen så får jag väl matrisen B. Detta är vad jag fått 

PATENTERAMERA 7896
Postad: 14 dec 2023 12:50

e = (cos(pi/9), sin(pi/9)). Nu tog du riktningsvektorn till linjen y = x, dvs fel linje.

destiny99 Online 11560
Postad: 14 dec 2023 12:51 Redigerad: 14 dec 2023 12:53
PATENTERAMERA skrev:

e = (cos(pi/9), sin(pi/9)). Nu tog du riktningsvektorn till linjen y = x, dvs fel linje.

Jaha oj. Då missförstod jag dig. Ska räkna om igen då. Så e =(cos(pi/9),sin(pi/9)) som är en enhetsvektor är också en riktningsvektor till linjen som bildar pi/9 med x axeln? 

destiny99 Online 11560
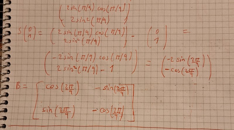
Postad: 14 dec 2023 13:14

jag fick detta

PATENTERAMERA 7896
Postad: 14 dec 2023 15:17

Bra. Man kan förenkla lite.

2cos2(x) - 1 = cos2(x)-sin2(x) = cos(2x).

2sin(x)cos(x) = sin(2x).

2sin2(x) - 1 = sin2(x) - cos2(x) = - cos(2x).

destiny99 Online 11560
Postad: 14 dec 2023 16:05
PATENTERAMERA skrev:

Bra. Man kan förenkla lite.

2cos2(x) - 1 = cos2(x)-sin2(x) = cos(2x).

2sin(x)cos(x) = sin(2x).

2sin2(x) - 1 = sin2(x) - cos2(x) = - cos(2x).

Ja det blir ju såhär.

destiny99 Online 11560
Postad: 14 dec 2023 19:11

Systemet godkänner ej detta som svar. Jag förstår ej varför.

PATENTERAMERA 7896
Postad: 14 dec 2023 22:17

Vad skriver du in? Kanske du får slå närmevärden på räknaren och skriva in dessa med lämpligt antal decimaler.

destiny99 Online 11560
Postad: 14 dec 2023 22:38
PATENTERAMERA skrev:

Vad skriver du in? Kanske du får slå närmevärden på räknaren och skriva in dessa med lämpligt antal decimaler.

Smaragdalena 78892 – Avstängd
Postad: 14 dec 2023 22:54

Prova om det funkar bättre med JA - tyvärr kan sådana program vara otroligt korkade!

PATENTERAMERA 7896
Postad: 14 dec 2023 22:56 Redigerad: 14 dec 2023 22:57

Kommuterar verkligen operationerna? Tex om vi börjar med (1, 0) och speglar först i linjen och sedan i x-axeln. Om vi gör omvänt, spegla först i x-axeln och sedan i linjen. Det blir väl inte samma resultat.

destiny99 Online 11560
Postad: 14 dec 2023 23:19
PATENTERAMERA skrev:

Kommuterar verkligen operationerna? Tex om vi börjar med (1, 0) och speglar först i linjen och sedan i x-axeln. Om vi gör omvänt, spegla först i x-axeln och sedan i linjen. Det blir väl inte samma resultat.

Det funkar fortfarande ej..

PATENTERAMERA 7896
Postad: 14 dec 2023 23:30

Skall det inte vara plustecken framför båda sinusarna?

D4NIEL 3515
Postad: 14 dec 2023 23:35

Ja,

PATENTERAMERA 7896
Postad: 14 dec 2023 23:50

Om du utför matrismultiplikationerna AB och BA så kan du kanske se något intressant, om ni gått igenom rotationsmatriser.

Svara
Close