spegling i plan
Hello, jobbar med denna fråga:

Tänker att man kan projicera tre olika vektorer på normalen * 2 eftersom att det är en spegling, och sen använda det för att skapa avbildningsmatrisen såhär:

med för tre olika vektorerna. Jag antar att det är såhär man ska göra. Vet dock inte hur man ska hitta 3 stycken vektorer. Eller är det kanske inte så man ska göra??
Gör det enkelt för dig och ta (1 0 0), (0 1 0) och (0 0 1) så får du svaret direkt.
Yes då gör jag det. Men det spelar ingen roll alls vad man väljer för vektorer?
Gör det enkelt för dig och ta (1 0 0), (0 1 0) och (0 0 1) så får du svaret direkt.
Ingen större roll iaf. Man kan säkert ställa till det för sig om man tex tar samma 3 ggr eller liknande. Men det blir mindre att räkna sen om man kör det 3.
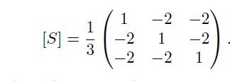
får den här matrisen av min uträkning:

(ska stå en 1/3 framför den slutgiltiga matrisen som jag brytit ut)
facit ger dock det här svaret:

Dom är inte ekvivalenta va?
Du glömmer att du skall multiplicera med 2 på ett ställe i din ekvation.