Spektroskopi

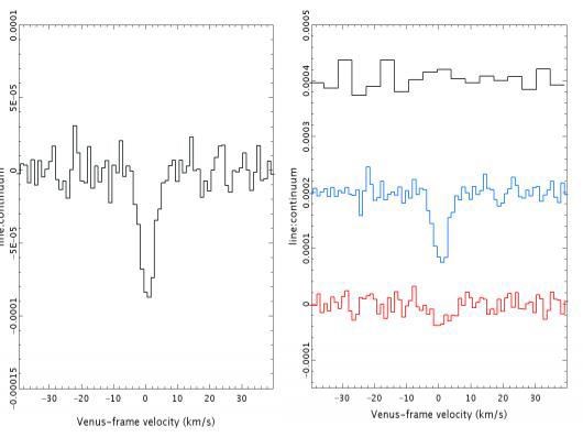
Hej, jag ska skriva ett gymnasiearbete om spektroskopi. Som resultat använder jag data för upptäckten av fosfin på Venus, men jag har inte bra förkunskaper för att tolka datan. Det jag tror mig ha förstått är att linjernas djup visar hur mycket av ämnet fosfin som finns i planetens atmosfär, i andra diagram som jag har sett visar x-axeln våglängden. Varje ämne har en unik våglängd figuren kan därför tala om vilket ämne som finns. Men varför är x-axeln i hastighet? Kan det ha med radialhastigheten att göra och kan man isåfall få ut våglängden genom formeln ?
Du måste länka till var du fått tag i dessa diagram för att någon ska kunna hjälpa dig. Annars måste man utgå från din kanske felaktiga tolkning eller uppfattning av vad de beskriver. Eftersom att förstå dem är vad du vill ha hjälp med från första början är en sådan utgångspunkt kontraproduktiv.
Ebola skrev:Du måste länka till var du fått tag i dessa diagram för att någon ska kunna hjälpa dig. Annars måste man utgå från din kanske felaktiga tolkning eller uppfattning av vad de beskriver. Eftersom att förstå dem är vad du vill ha hjälp med från första början är en sådan utgångspunkt kontraproduktiv.
https://arxiv.org/pdf/2009.06593.pdf
Jag skulle inte rekommendera denna typ av spektroskopi av två huvudanledningar:
- Fosfin tycks inte ha hittats på Venus, granskning av Greaves, J. et al. forskningsrapport har visat att datan förmodligen feltolkades (länk). Denna länk kan översiktligt förklara vad dina grafer beskriver, hur de tas fram och hur de bör tolkas.
- Denna typ av spektroskopi är ganska speciell och lite utanför vidden av ett gymnasiearbete. Du behöver sätta dig in i Fourieranalys och förstå avancerad signalbehandling för att på riktigt begripa hur graferna skapas och vad de visar. Det är en vanligt förekommande teknik inom astronomi som kallas integrerad fältspektroskopi. Du kan läsa mer om det på engelska Wikipedia (länk)
Jag föreslår att om du ska göra ett arbete om spektroskopi inom astronomi bör du sannolikt arbeta närmre grunderna. Denna länk är bra för det:
http://spiff.rit.edu/classes/ast613/lectures/spectroscopy/spectroscopy.html#disp_elem