0
svar
60
visningar
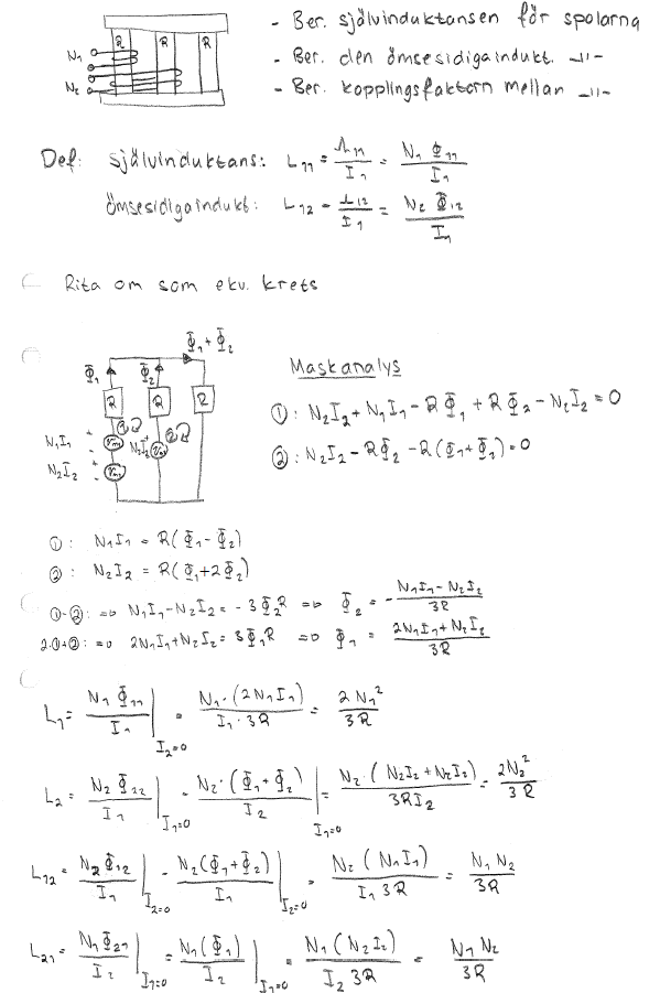
Spolar, reluktans, själv-induktans m.m.


Lösningsförslag

Jag har en fråga angående flödet till induktanserna, exempelvis i L12. Jag har förstått det som att är magnetiska flödet som beror på strömmen I1, dvs I2=0. Vad jag gör då är att jag stoppar in I2=0 i uttrycket för vilket ger , som inte stämmer med lösningsförslaget ovan. Men vad de gör i lösningsförslaget är att uttrycka , och detta är jag inte med på.
För att sammanfatta
- Hur går tänket för att ta fram överlag.
- Uttrycken till L12 och L21 presenteras i ett formelblad jag har tillgång till, men inte L1 och L2. Hur vet man uttrycken till L1 och L2?