4
svar
97
visningar
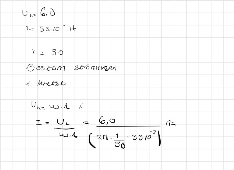
= 2f = 100
Hur blir det så?
noa9 skrev:Hur blir det så?
Det är ingenting som blir, det är definierat så.
Tack, råkade slå fel på räknar isåfall.


