Spricktillväxt - hållfasthetslära
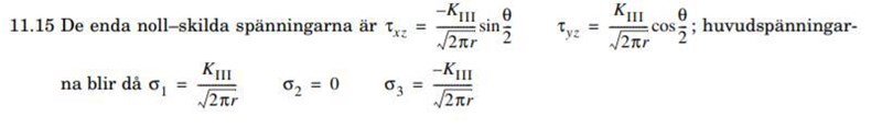
Har problem med uppgift 11.15 nedan. I min kursbok hittar jag endast formler för spänningarna när det är modus I belastning, är det meningen att man ska härleda uttrycken i facit med hjälp av dessa på något sätt? Och i så fall hur?


Att härleda är ganska svårt och kräver asymptotiska energimetoder som jag inte skulle förvänta mig att någon ska göra i en grundläggande kurs. Det kan nog vara så att de delade ut ett kompendium eller hänvisade till litteratur alternativt föreläsningsmaterial. Vad har du för formelsamling? Här har du ett utdrag från formelsamlingen på KTH: FS KTH
För att börja diskutera bör du veta vad de olika modus är:

Som du ser är modus III när planet skjuvas i z-led vilket är varför enbart skjuvspänningarna i z-led är noll-skilda. Om vi tittar på sidan 239, ekvation (23.11) i formelsamlingen har vi de relationer som åberopas i ditt lösningsförslag.
Tack, har den formelsamlingen också