St Petersburgparadoxen
Hej,
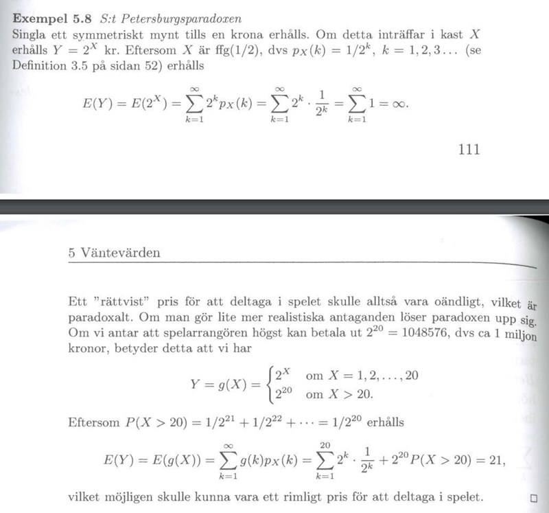
Jag har läst ett exempel i min kursbok om St Petersburgparadoxen, och har hängt upp mig på en detalj i en av uträkningarna. I bilden så sätter de ett tak för den maximala utbetalningen på 220 och skriver att då blir P(X > 20) = 1/221 + 1/222 + .... = 1/220. Jag förstår inte riktigt logiken bakom det senaste. Hur kan sannolikheten att X är över 20 vara 1/220? Borde inte P(X > 20) vara 1 - P(X < 21)?

Det är en geometrisk serie.
Jag fattar inte men vad är det för kurs?
Är det Gunnar Bloms bok om sannolikhetslära och statistik? ^_^
Väldigt välskriven bok! Och jag minns att jag tyckte just det här exemplet med St Petersburgparadoxen var rätt kul när jag läste den här kursen för massa år sedan. Dels dyker det upp en serie (vilket alltid är kul) och dels är det en bra varning om att ens vardagliga intuition är av begränsad användning när man står inför oändliga utfallsrum.