Ställ upp matrisen
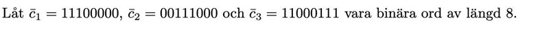
Frågan är


Jag har kommit så här långt



obs! ser att det ska vara (t+u+v+y, t, u+v+y, s+u+v+y, s, u, v, y), eller hur?
Jag vet inte hur jag ska ställa upp matrisen. Här kommer facit men jag förstår inte hur de får fram denna matris:

ska jag liksom testa med att ha t=0 en gång och sedan s=0 en gång eller ...?
Jag vill börja med att säga att jag inte förstår frågan (har inte läst kursen...).
Efter att ha studerat din lösning och googlat lite kan jag notera följande:
I steg 2 ser det inte ut som att matriserna är radekvivalenta.

Det ser ut som att du vill subtrahera rad1 från rad 2 och då ska det vara "-1:or" i den blåa ringen.
I övrigt tror jag att tankegången är rätt. Ekvationen Hci=0, i=1..3 betyder att ci tillhör nollrummet till H. Du sätter upp 3 ekvationer med hjälp av nollrummet. Man ser enkelt att de givna ci är linjärt oberoende, d.v.s. de spänner upp ett 3-dimensionellt nollrum. Sedan (det är här mina kunskaper inte räcker till), antar man att nollrummet inte har fler dimensioner d.v.s. att H ska ha rang 5 (8-3=5).
En matris med rang 5 kan du t.ex. få på det sätt som beskrivs i facit. När du har fått fram korrekta relationer mellan de 5 fria parametrarna (s, t, u, v, y) genom att göra rätt i din ekvationslösning så sätter du först t.ex. s=1 och de andra till 0. Då får du rad 1 i H. Sen sätter du t=1 och resten till 0 för att få rad 2 o.s.v. Notera att det finns många lösningar. I facit står det "...spänns t.ex. upp av...", d.v.s det är ingen unik lösning.
Du kan kontrollera dina beräkningar genom att beräkna Hci. Det ska bli 0 för alla 3 ci.
Peter skrev:Jag vill börja med att säga att jag inte förstår frågan (har inte läst kursen...).
Efter att ha studerat din lösning och googlat lite kan jag notera följande:
I steg 2 ser det inte ut som att matriserna är radekvivalenta.
Det ser ut som att du vill subtrahera rad1 från rad 2 och då ska det vara "-1:or" i den blåa ringen.
I övrigt tror jag att tankegången är rätt. Ekvationen Hci=0, i=1..3 betyder att ci tillhör nollrummet till H. Du sätter upp 3 ekvationer med hjälp av nollrummet. Man ser enkelt att de givna ci är linjärt oberoende, d.v.s. de spänner upp ett 3-dimensionellt nollrum. Sedan (det är här mina kunskaper inte räcker till), antar man att nollrummet inte har fler dimensioner d.v.s. att H ska ha rang 5 (8-3=5).
En matris med rang 5 kan du t.ex. få på det sätt som beskrivs i facit. När du har fått fram korrekta relationer mellan de 5 fria parametrarna (s, t, u, v, y) genom att göra rätt i din ekvationslösning så sätter du först t.ex. s=1 och de andra till 0. Då får du rad 1 i H. Sen sätter du t=1 och resten till 0 för att få rad 2 o.s.v. Notera att det finns många lösningar. I facit står det "...spänns t.ex. upp av...", d.v.s det är ingen unik lösning.
Du kan kontrollera dina beräkningar genom att beräkna Hci. Det ska bli 0 för alla 3 ci.
Tack så mycket!