3
svar
489
visningar
Axiom behöver inte mer hjälp
Stambråk

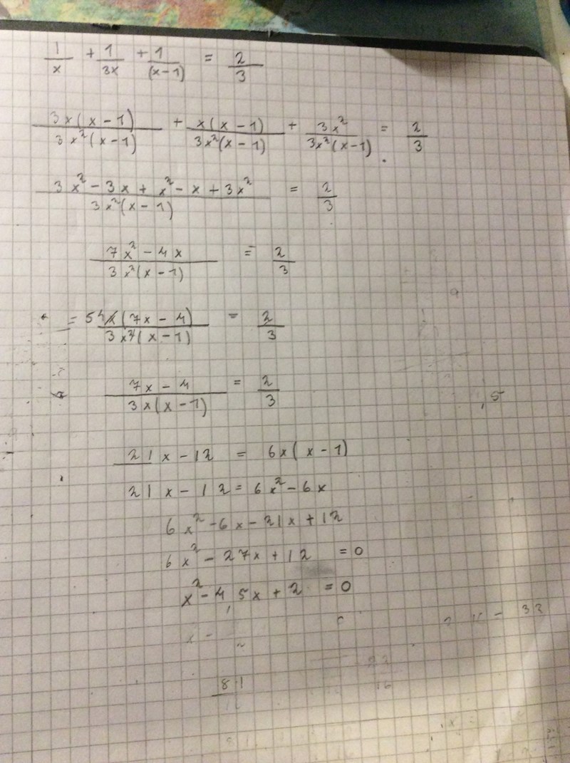
Jag har försökt mig på den här uppgiften ett flertal gånger men får alltid fel svar

Du har gjort rätt!
Lös nu ut vad x blir i din andragradsekvation (ex. med pq-formel eller kvadratkompletering) och kom ihåg, x måste vara ett heltal om lösningen ska uppfyllas. Dvs. om en lösning t.ex. blir 0,5 ska den förkastas.
Därefter kan du skriva dina tre stambråk.
Tips: I stället för att göra liknämnigt i VL, räkna ihop täljarna och sedan multiplicera båda leden så att du får bort nämnarna, kan du börja med att multiplicera båda leden med mgn 3x(x-1). Du blir då genast av med alla nämnare och det blir mycket mindre att skriva.
3(x-1) + (x-1) + 3x = 2x(x-1)
Tack för hjälpen! Det blev rätt nu.