2
svar
52
visningar
Dr.scofield behöver inte mer hjälp
Stämmer verkligen facit?
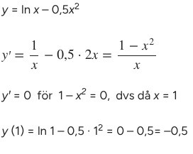
Hej! I uppgiften "Funktionen y=lnx−0,5x2 har en extrempunkt för ett positivt x-värde.
Bestäm koordinaterna för denna." fick jag derivatan av y y' = (1-x)/x. Facit fick y' = (1-x2)/x. Stämmer det verkligen?

Hej, ja, det stämmer.
Om du visar alla steg hur du deriverade och förenklade så hjälper vi dig att hitta felet.
Jag insåg felet. Tack ändå!