1
svar
72
visningar
standardavvikelse
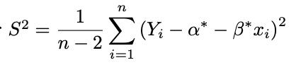
Hej, jag undrar hur man beräknar standardavvikelsen i uppgiften? Jag använder mig av formeln nedan (n=4, x=5,9,13,15 och y=17,29,...) men får fel svar.


Kan detta hjälpa:
, där
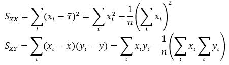
För SXX respektive SYY gäller:
