standardavvikelse 4148

Hej!
Jag har fastnat på denna, förstår att det kommer inte tilläggas något i täljaren men att nämnaren kommer öka med 1 då det är 11 tal nu, men förstår inte riktigt hur jag ska göra sen, blir tacksam för hjälp!
Titta på definitionen av standardavvikelse.
Du kan få ut förhållandet mellan den nya och den gamla standardavvikelsen. Den gamla är känd.
har tittat på definitionen men förstår inte riktigt hur jag får ut förhållandet
Skriv definitionen här.
standardavvikelse: Det mått på den genomsnittliga avvikelsen från medelvärdet i en serie observationsvärden.
Har du inte fått en formel för hur man räknar ut standardavvikelsen för ett antal mätningar?
Jag tror att du är på rätt spår, då du pratar om att nämnaren ökar med 1, men att täljaren är oförändrad.
Så någon definition för att räkna ut standardavvikelsen använder du.

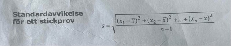
Denna finns även i formelsamlingen, vet inte om det kanske var denna du syftade på?
Just den är det du behöver. När du adderar ytterligare ett tal, vars värde är 0 (det står ju att det elfte värdet är lika med medelvärdet) så ändras ju inte täljarens värde, men nämnaren blir ett steg större.
Du vet att från början är där jag kallar värdet i täljaren för X. Använd detta för att få fram ett värde på X. Sedan kan du beräkna den nya standardavvikelsen .
nu fick jag rätt svar, förstod att det inte skulle göra någon skillnad i täljaren men visste inte att jag skulle benämna täljaren som x, tack så jättemycket för hjälpen!! :)
Är det nånting krångligt som man inte orkar skriva flera gånger, så kalla det för X eller T eller vad du har lust med!
Tack för tipset! :)