3
svar
195
visningar
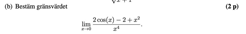
Standardgransvärde
Hur kan man lösa detta utan l'hôpitalregeln (och inte med Taylor heller)?
Alltså man kommer fram till svaret med l'hostoregeln men jag vill veta hur man kan lösa detta med standard gransvärde.

Det fungerar bra att serieutveckla cos (x).
Nån gång kan man göra en geometrisk betraktelse, men med x4 i nämnaren tror jag inte en sådan är aktuell.
Ja, jag vet att man kan serieutveckla, men jag vill få ut(1-cosx)/x^2 eller nåt sånt. Ni fattar!