1
svar
87
visningar
Marcus N behöver inte mer hjälp
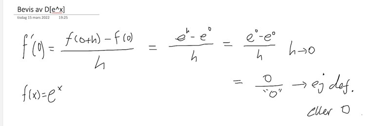
Standardgränsvärdet

Jag förstår inte den här standardgränsvärdet.
Borde inte den går f'(0) går emot 0 eller ej definerat?

Om h går mot 0 har vi e=lim(1+h)1/h Därför kan det sökta gränsvärdet skrivas lim(((1+h)1/h )h -1)/h= =lim(1+h-1)/h=lim h/h=1