2
svar
57
visningar
Marcus N behöver inte mer hjälp
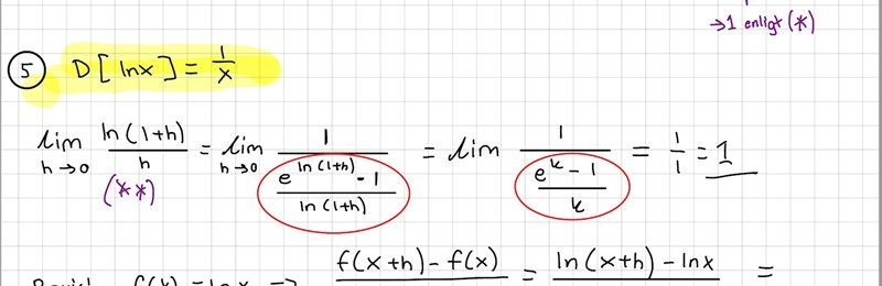
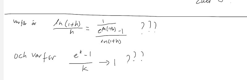
Standardgränsvärdet

Tråd flyttad från > Bevis till > Matte 4 > Derivata och differentialekvationer. /Smutstvätt, moderator
Här finns ett bevis
Ofta brukar man säga att detta är ett standardgränsvärde som man ej behöver bevisa
