Standardmatris för en matrisavbildning

1) Jag har ingen aning om hur jag ska bevisa att detta är en matrisavildning
2) När jag ska hitta standard matrisen för den här avbildningen kan jag då tänka att jag ska skala om de olika elementen hos vektorn, alltså att x ska ha 1, y 1 och z w 0?
1) Spoiler 1 inspirationsuppgift
2) Spoiler 2 svaret
Visa spoiler

Visa spoiler
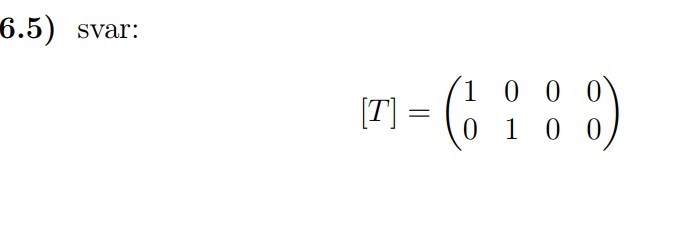
Svar:
Alla linjära funktioner har en matrisavbildning och kraven för att en funktion ska vara linjär är följande:
1) T(v+w)= T(v)+T(w)
2)cT(v)=T(cv)
så man sätter in generell v1 och v2 t.ex. v1=(x1,y1,z1,w1) v2=(x2,y2,z2,w2)
T(v1+v2)= x1+x2, y1+y2
T(v1)+T(v2)=(x1,y1)+(x2+y2) detta är samma så det är klart
cv1=cx1,cy1..
T(cv)= (cx1,cy1)
cT(v)=C*(x1,y2) också samma sak så ok
Sedan för att få reda på standardmatris så sätter man in enhetsvektorer för R4 e1=(1,0,0,0) e2=(0,1,0,0) o.s.v och ser vad funktionen spottar ut för varje värde och då får man:
e1--> (1, 0) e2--> (0,1) e3--> (0,0)