0
svar
167
visningar
19antonov09 behöver inte mer hjälp
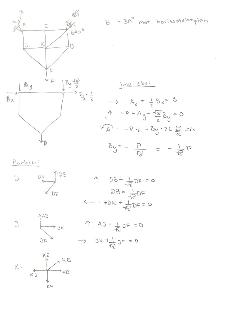
Stångbärverk
Ska beräkna dragkraften mellan J och K men får inte till friläggningen av punkterna...Finns det någon som kan hjälpa till så att jag förstår samt vad slutresultatet ska bli? Har även försökt räkna ut det med hjälp av Ansys men något blir tokigt där med.
