Starkaste syran

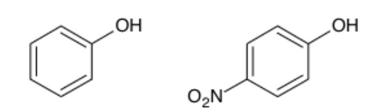
Hej! Vilken av dessa är den starkaste syran är frågan. Jag är medveten om att resonansstabilisering gör en starkare syra vilket vi har i bensenringen på båda exempel, men NO2 bidrar också till detta i och med dubbelbindningen och den negativa laddningen eller? Så den är den starkaste syran?
Svaret ligger i hur denna nitrogrupp påverkar hydroxigruppen, via benzenringen.
Vilken egenskap har nitrogruppen (frånsett att den bidrar till att göra resten av en större förening explosiv)?
NO2 bidrar också till detta i och med dubbelbindningen och den negativa laddningen eller?
Nitrogruppen i sig saknar laddning, för även om kväveatomen har en positiv laddning balanseras denna positiva laddning av den negativa laddningen som är finns på det ena syret (detta även om denna negativa laddningen är resonansstabiliserad mellan bägge syreatomerna i nitrogruppen).
Att den är elektronindragande? Detta gör ju att den stabiliseras mer eller? Och tack för infon om nitrogruppen!
Precis nitrogrupper är generellt elektronattraherande, så i din 4-nitrofenol ger nitrogruppen upphov till en induktiv effekt, som genom benzenringen surgör protonen ännu mer än i fenolen (d.v.s. bindingselektronerna mellan O-H, dras ännu mer till syret än i fenolen).
Dessutom kan ytterligare en (sjätte) resonansstrukturer bildas med 4-nitrofenolen, då en dubbelbindning bildas mellan kol 4 och kvävet, samtidigt som bägge syreatomerna i nitrogruppen får varsin negativ laddning. Phenoxidjonen stabiliseras bättre i 4-aminofenolen än i fenol.
Detta gör tillsammans att 4-nitrofenolens pKa blir lägre än fenolen,
mag1 skrev:Precis nitrogrupper är generellt elektronattraherande, så i din 4-nitrofenol ger nitrogruppen upphov till en induktiv effekt, som genom benzenringen surgör protonen ännu mer än i fenolen (d.v.s. bindingselektronerna mellan O-H, dras ännu mer till syret än i fenolen).
Dessutom kan ytterligare en (sjätte) resonansstrukturer bildas med 4-nitrofenolen, då en dubbelbindning bildas mellan kol 4 och kvävet, samtidigt som bägge syreatomerna i nitrogruppen får varsin negativ laddning. Phenoxidjonen stabiliseras bättre i 4-aminofenolen än i fenol.
Detta gör tillsammans att 4-nitrofenolens pKa blir lägre än fenolen,
Tack så mycket för den förklaringen!
För all del, kul att det hjälpte! Du var på rätt spår från början.