Statik

Jag förstår inte hur man ska kunna lösa denna uppgift utan avståndet på pinnen som håller i vikten?
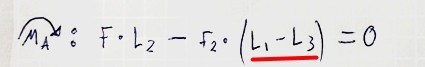
Du kan uttrycka F2 i en kraft som verkar längs stången (och i x-led men den är oviktig för den bidrar inte med något moment). Verkningslinjen för denna komposant är en känd sträcka från stödpunkten så du kan beräkna momentet.
Det är alltså här det blir fel:

Kraften angriper där pinnen är fäst i ditt element, 300mm från hävarmen. Pinnens andra ändpunkt är vi inte intresserade av.
Ska jag vinkla kraften så att den är parallel med pinnen då? Så att kraften faktiskt går igenom den punkten där avståndet är 300 mm från rotationspunkten?
I jämvikt rör sig pinnen inte, så summan av krafterna på pinnen är... ( fortsätt själv)
En kraft på pinnen är given, och den andra angriper just 300mm från vridningspunkten.
Men varför skulle jag fått vinkeln i uppgiften om det är på detta sättet och jag fattar fortfarande inte varför vi kan ignorerar att denna kraften 120N kan flyttas i samma riktning och placeras på hävarmen på ett avstånd L1 - L3 om vi vill det? (L1 är 300 och L3 är avståndet som blir om vi tar sin(10)*längden av pinnen)
Jag förstår ditt resonemang bara inte varför det jag påstår är fel.
Känns det här fullständigt självklart?
"Kraften från pinnen på hävarmen angriper där pinnen rör hävarmen."
Mannen45 skrev:Men varför skulle jag fått vinkeln i uppgiften om det är på detta sättet och jag fattar fortfarande inte varför vi kan ignorerar att denna kraften 120N kan flyttas i samma riktning och placeras på hävarmen på ett avstånd L1 - L3 om vi vill det? (L1 är 300 och L3 är avståndet som blir om vi tar sin(10)*längden av pinnen)
Reaktionskraften får bara flyttas längs sin verkningslinje. Staget kan bara uppta krafter i längdriktningen. Du får flytta kraften i staget längs den röda verkningslinjen, ingen annanstans. På samma sätt kan man flytta kraften 120N längs en vertikal verkningslinje. Oavsett om du räknar på reaktionskraften eller på kraften 120N får man såklart samma resultat (i ena fallet blir kraften mindre och hävarmen större, i andra fallet tvärtom). Är du med?

![]()
Tillägg: 2 feb 2025 12:38
Du kanske glömmer att det finns en horisontell reaktionskraft från löpspåret på klossen om du försöker frilägga delen som kopplar ihop kraften 120N?