Statik: Bestäm masscentrum i figuren i termer av a, b och c.
Hej!
Jag lyckas inte hitta masscentrum för följande figur:

Jag tänker att man, för x-koordinaten, ska använda formeln , där M är massan av en rektangel med arean ab, m är massan av en fjärdedels cirkel med radien c och första och andra integralerna är integraler för ab-rektangeln respektive fjärdedelen av cirkeln. Tanken med denna formel är att man substituerar dm med dV, vilket sedan kan substitueras med ett uttryck som beror på dx. Därefter kan man genomföra integrationerna, och få en x-koordinat uttryckt i a, b och c.
Problemet jag stöter på är att jag inte lyckas få fram ett integralyttryck för den fjärdedels cirkel som beror av dx.
Just nu har jag:
Om jag bara lyckas uttrycka i termer av dx tror jag att jag kan lösa uppgiten.
Någon som vet hur man ska göra det?
Det känns som att du ska använda tabellvärde för det:
https://en.wikipedia.org/wiki/List_of_centroids
Att spara arbete genom att slå upp saker är förstås bra, men den här integralen är inte så svår.
Laguna skrev:Att spara arbete genom att slå upp saker är förstås bra, men den här integralen är inte så svår.
Nej, den ser ju inte så svår ut, men jag lyckas ändå inte komma fram till hur man gör den.
Jag tänkte först att man skulle göra , men denna lyckas jag inte lösa.
Pieter Kuiper skrev:Det känns som att du ska använda tabellvärde för det:
https://en.wikipedia.org/wiki/List_of_centroids
Jag tror tyvärr inte jag får det! :(
Substituera u = c2-x2.
Laguna skrev:Substituera u = c2-x2.
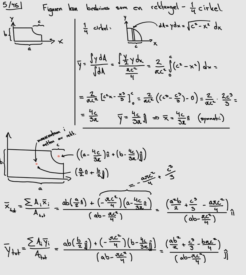
Ja, det skulle gå men integralen blir (i min smak) väldigt lång och svår. Jag kom på en annan metod för att lösa uppgiften istället, och jag bifogar en bild på den metoden i svarsfältet ifall någon som stöter på samma problem i framtiden vill se. Tack för all hjälp!
Löste uppgiften på ett annat sätt! Se följande bild för uträkning:

Integranden blir ungefär u1/2 du.