0
svar
129
visningar
Stationäritet
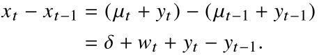
"Visa att (följande) är stationär"

Jag vet att: 1. Visa att det förväntade värdet för inte är en funktion av tid
2. Visa att autokovariansfunktionen för inte är en funktion av tid
Jag behöver helt enkelt hjälp med att bevisa att ovanstående villkor är uppfyllda