Statisktisk kvalitetsstyrning - Acceptanssannolikheten


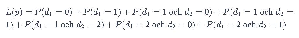
Borde inte L(p) inkluderar alla scenario där partiet bli accepterat, vilket ser ut så här:

Stämmer den här L(p) formeln? Om inte, kan ni förklarar varför.
Chatgpt har genererat ett svar för min frågan:
I ett dubbelt provtagningssystem kollar vi först en liten grupp saker från partiet. Om vi inte hittar några fel alls, eller om antalet fel är inom det vi har bestämt är okej, så godkänner vi hela partiet direkt. Men om vi hittar fler fel än det godkända antalet, då avvisar vi hela partiet på en gång.
Nu, om vi hamnar mitt emellan – det vill säga vi hittar lite fler fel än vad som är okej för direkt godkännande, men inte tillräckligt många för att avvisa direkt – då tar vi ett nytt prov. För detta andra prov räknar vi bara med chansen att vi inte hittar några fel alls. Det är för att om det första provet redan hade lite för många fel, måste det andra provet visa noll fel för att vi ska kunna godkänna hela partiet. Om vi skulle hitta något fel i det andra provet, skulle vi ändå avvisa hela partiet eftersom vi redan hade för många från det första provet.
Så i korthet: Vi räknar bara med chansen att det andra provet är perfekt eftersom det är den enda chansen partiet har att bli godkänt om det första provet redan visade några fel.
Stämmer detta?
Betyder det att när vi räknar på L(p) acceptanssannolikheten antar vi alltid att via den andra provuttag har vi noll defekt komponenter. Alltså d2 är alltid noll, när man försöker räknar på acceptanssannolikhet.
Bombar tråden!
Bombar tråden igen!