0
svar
96
visningar
Statistik, domänestimation

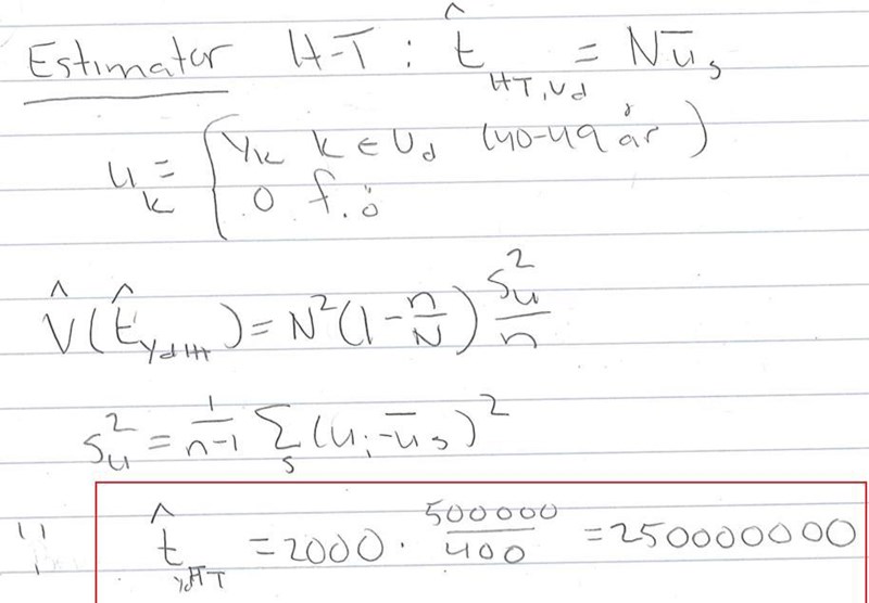
Jag hänger i med vad som händer i det inrutade området. Varför är N = 2000, då 400*500 = 200 000 (vilket står i början av lösningsförslaget)
