Statistik: Konfidensintervall
Hej!
Jag förstår inte vart 10.21 kommer ifrån i denna uppgift - hur ska jag hitta den då den inte står rent konkret i uppgiften? Jag tänkte även fråga vart/hur jag hittar medianen 8.50 eller liknande medelvärde då de inte heller står utskrivna på tentafrågorna.
"In this exercise you should help a company to analyze the effects that price discount has on sales of a product. To do so, you will find the company’s historical data on Sales (which is measured by percentage increase in sales) of the product and different levels of Price (which is measured by price discount in percent). A scatterplot of the data is given in Figure 1a. In total there are 83 pairwise observations.
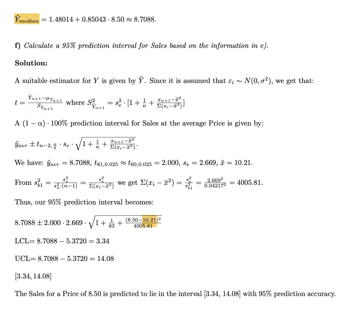
f) Calculate a 95% prediction interval for Sales based on the information in e)"
(I e) skulle man endast stoppa in värdet av medianen 8.50 i den estimerade modellen och man får ut 8.7)
Lösning - vart hittar man 10.21?

Tabell

Graf (om det behövs?)

Enligt formeln är det medelvärdet av x-värden i datan. Har du fått mer än en plot över datan?