statistik
Hej,
Sitter och försöker plugga statistik men fastnat på en uppgift. Jag har försökt lösa så så gott det går.
Fråga
Hur mycket betong som går åt till ett visst bygge kan betraktas som en stokastisk variabel som
är poissonfördelad med λ = 400 ton.
Hur många ton behöver man ha för att det ska räcka med sannolikheten 95 %?
Mitt försök
λ=400
√(400) ▸ 20
ξ∈Po(400,20)
p(ξ<x)=0.95
p(((ξ-400)/(20))<((x-400)/(20)))=0.95
Sen fastnar jag, vet inte ens om det jag har gjort är rätt.
svaret ska vara 433 ton
Skulle någon snälla kunna hjälpa mig
Tack
Jag vet inte om jag fattar problemet. Poisson-fördelningens täthetsfunktion.
P(X=k)=, k=antal händelser.
rapidos skrev:Jag vet inte om jag fattar problemet. Poisson-fördelningens täthetsfunktion.
P(X=k)=, k=antal händelser.
Hej,
Ledsen för ett så krångligt inlägg. Det jag vill veta är hur man löser uppgiften. Scaret ska vara 433 ton men jag vet inte hur man kommer ditt 100%
Det vet jag inte. För jag vet inte hur man använder Poisson för denna uppgift. Kan du fota av uppgiften och lägga in?
Affe Jkpg skrev:433ton ?
Den varianten av Poisson har jag inte använt!
rapidos skrev:Det vet jag inte. För jag vet inte hur man använder Poisson för denna uppgift. Kan du fota av uppgiften och lägga in?

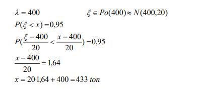
Här har du frågan och jag hittade även en lösning, jag har gjort samma sak som lösningen men förstår fortfarande inte sista steget där jag fastnar på. Efter jag kollat på lösningen så undrar jag hur får man fram 1.64?
Lösning

Det här en long-shot. Man har använt sig av en normalapproximation. Det finns det tabeller för om man gör om till en N(0,1)-fördelning. Vilket är gjort genom (x-400)/20. Jag hittade en tabell här sid 7. Om du avläser 0.95 ser du att det är 1.64.
http://www.math.chalmers.se/Stat/Grundutb/CTH/tms063/1516/matstat_f4_tms063.pdf
rapidos skrev:Det här en long-shot. Man har använt sig av en normalapproximation. Det finns det tabeller för om man gör om till en N(0,1)-fördelning. Vilket är gjort genom (x-400)/20. Jag hittade en tabell här sid 7. Om du avläser 0.95 ser du att det är 1.64.
http://www.math.chalmers.se/Stat/Grundutb/CTH/tms063/1516/matstat_f4_tms063.pdf
Tusen tack för att du tar tiden och hjälper mig :)
Det finns gamla sortens Poission-tabeller, åsså kan man krångla med att gå via Normalfördelnings-tabeller.
https://keisan.casio.com/exec/system/1180573180
Jag fyllde bara i grunddata och läste av;

