Statistik, systematiskt fel(bias)
Hej, nu läser jag ingen kurs i statistik, men jag håller på att skriva en rapport och skulle behöva bestämma systematiskt fel men är väldigt osäker om jag missuppfattar formeln. Jag har totalt 3 provytor/prover som jag har mätt med en metod (som anses motsvara det verkliga värdet) och en annan metod.

Första metoden (det verkliga värdet) = 31, 30, 29
Andra metoden: 32, 29, 30
Eftersom det inte finns något facit (jag skriver en rapport) vill jag kolla med er så jag tänkt rätt.
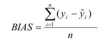
Om jag dessutom vill få fram det procentuella systematiska felet använder jag nedan formel, men vad motsvarar y i sammanhanget? Jag förstår att det är medelvärdet, men medelvärdet av båda metoderna eller bara ena?

Vad är det för formel du tänker använda? Det finns många olika former av bias i samband med statisktik.