Statistik - väntevärde och varians av hypergeometrisk fördelning
Har nedan bevisföring och har 2 frågor angående den.

1. Jag förstår inte hur betingande sannolikheten tas fram? Jag känner till att det finns några sätt att allmänt ta reda på en betingad sannolikhet, joint probability dividerat med marginal probability, baye sats eller använda någon joint probability table men då hade jag haft tillgång till joint probability. Eftersom jag inte har tillräckligt med information för att utföra någon av dem känns det som att det är en annan tillvägagångssätt de använder.
2. Vet inte hur variansen fås fram heller. Antar att de använder nedan samband, men blir det inte jobbigt att beräkna det inom summationen av covariansen? Jag kanske inte fattar hur man ska tolka den men jag tolkar den som alla j och k s.a de är mindre än eller lika med n och j är mindre än k, så känns som om man får massa termer att arbeta med.
1.
Hänvisar till denna sida, svaret av Michael Hardy behandlar beviset på liknande sätt: https://math.stackexchange.com/questions/1380460/derivation-of-mean-and-variance-of-hypergeometric-distribution
Kort handlar det alltså om att betrakta detta som en urnmodell utan återläggning utan hänsyn till ordning, med totalt N kulor, där p betecknar andelen svarta kulor och (1-p) andelen vita kulor. Låt beteckna fallet då en svart kula erhålls och samma för . För att beräkna betingade sannolikheten kan man se det som att man ska ta fram sannolikheten att få en svart kula efter att en svart kula erhållits, vilket är bara , där -1 uppstår pga man har tagit en svart kula redan.
Vad exakt motiveringen till att man kan använda urnmodell här tror jag är för att man kan se varje indikatorvariabel som ett försök i urnmodellen och som n antal försök att dra upp svarta kulor. Detta var vad jag missade helt, då jag tänkte bara att varje indikatorvariabel var bernoulli och hade enskilt inte något med hypergeometriska fördelningen att göra.
2.
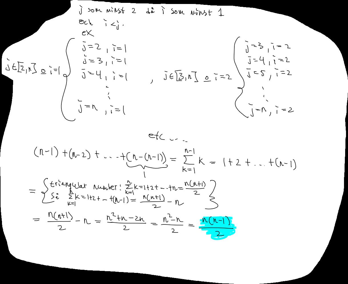
Viktigaste insynen här är att kovariansen är samma oavsett vilka eller som väljs. Dessutom är . Så utmaningen ligger i att beräkna hur många termer det finns, vilket bestäms helt av villkoret . Men det låter ju som någon talföljd, vilket man kan se om man testar rita upp det. Då ser man att man får ett triangeltal, som med enkel modifikation ger faktorn . Detta är alltså antalet termer, där alla är lika, som man får av summationen. Jag bifogar en slarvig bild nedan för att visa hur man kommer fram till antalet termer.
För övrigt en intressant men inte uppenbar bevis för mig. Att läroboken skippar detaljerna på detta sätt ger intrycket att det varit uppenbart, vilket jag inte alls tycker.