5
svar
190
visningar
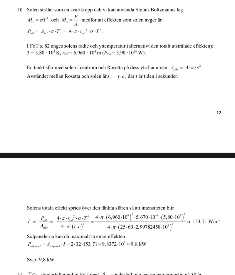
Stefan boltzmanns lag
Hej, varför är arean av ett sfär viktig? Arean av en klor är ju viktigt för att solen är formad som ett klot men varför är arean av ett sfär viktig? Tack på förhand! 
Hur tycker du att man borde beräkna ytan av den strålande solen?
Ja, för det är ju den som emitterar ljus
Solen är ett klot, därför räknar man med arean av ett klot.
Jag förstod det men varför beräknar de arean av ett sfär?
Arean av en sfär = arean av ett klot om de har samma radie.