1
svar
3405
visningar
heymel behöver inte mer hjälp
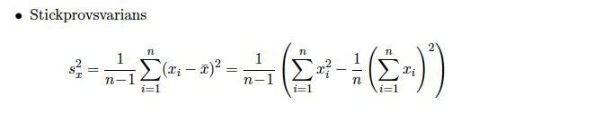
stickprovsvarians

angående stickprovsvariansen, jag gör enl den här formeln

jag anvnder den på högra sidan, och får då:
men det är helt fel :S
Dels har du fel värde på n, dels har du missat de tre sista mätvärdena. Och ska du ha variansen så ska du inte ta kvadratroten.