Stina kastar en boll som slår i marken | hur högt är kastet

Men jag undrar varför man ska använda sig av formeln s=v*t när man beräknar tiden det tar för bollen att åka 25m i horisontell led? Varför ska just den formeln användas? Varför inte en annan formel?
Börja med den generella formeln vid konstant acceleration som jag har visat dig tidigare, nämligen .
Visa sedan steg för steg, med förklarande text, hur du väljer koordinatsystemets placering och riktning samt ett resonemang kring accelerationen i x-led.
Visa hur det leder dig fram till den förenklade formen för x(t).
Vy =sin50 * 15
Vx=cos50 * 15
Accelationen Finns endast i y led för den påverkas av en tyngdacceleration på 9.82m/s^2
Det du skriver nu är någit helt annat än det jag bad dig att göra. Läs mitt förra svar igen.
Isåfall förstår jag inte riktigt vad det är jag ska göra
Jag vill att du själv ska komma fram till att formeln efter förenkling säger exakt samma sak som formeln .
Du menar att jag ska härleda formeln x(t)? Hur ska jag ens göra det?
Nej, jag menar att du ska utgå från formeln för x(t), förenkla den enligt miba instruktioner och då se att du får fram i princip s = v*t.
Det kanske får dig att förstå att de båda formlerna säger samma sak.
V0x *t är detsamma som s. at^2/2 vad står detta för ? Det är acceleration. Hur kan jag få funktionen x(t) att bli s=vt?
Det gäller generellt att .
Eftersom den enda kraft som påverkar objektet är den nedåtriktade tyngdkraften så är accelerationen i x-led lika med 0, dvs .
Det ger oss att
Om vi nu placerar vårt koordinatsystem så att origo ligger i utgångspunkten så är även och sambandet blir då .
Ser du likheten med nu?
Nytt försök. Är det rätt?
Din lösning är tyvärr inte helt rätt.
Den här uppgiften är lite klurig eftersom Stina inte kastar bollen från markhöjd utan en bit upp från marken. Det betyder att y0 inte är lika med 0 (om du lägger koordinatsystemet så att markytan är vid y = 0).
För att lösa den här uppgiften behöver du dels beräkna t1, vilket vi kan kalla tidpunkten då bollen vänder i luften (det har du gjort och fått rätt delresultat), dels beräkna t2, vilket vi kan kalla tidpunkten bollen landar 25 meter bort.
Om bollen kastades från markhöjd så skulle det gälla att t1 = t2/2. Men det gäller inte i det här fallet, vilket tyder på att bollen inte kastades från markhöjd.
Här behöver vi vara tydliga med en figur som visar hela bollbanan och där det framgår att y0 är skilt från 0.
Den här uppgiften är därmed en nivå svårare än dina andra "kast"-uppgifter.
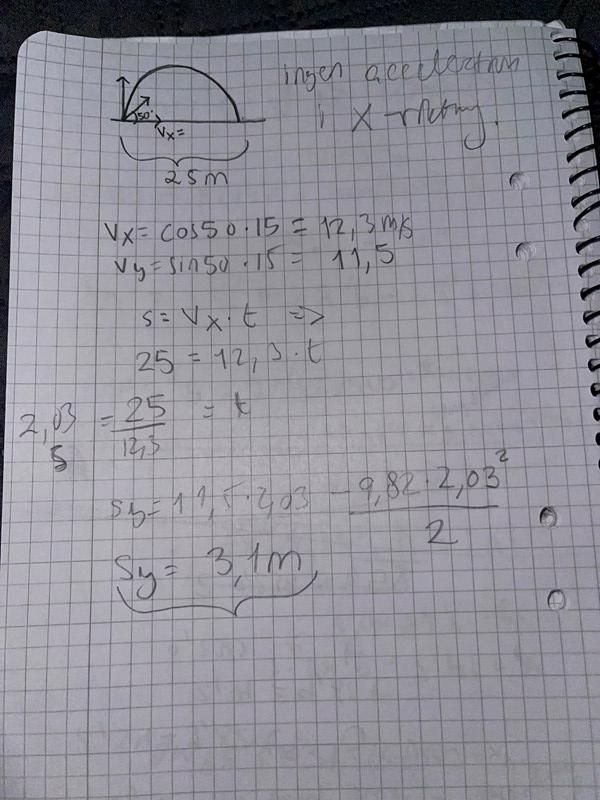
jag fick svaret 3,1 m. Är det rätt?
Nej det stämmer inte.
1. Du har beräknat v0x till 12,3 m/s men det borde vara cirka 9,64 m/s, se bild.

2. Du kallar fortfarande v0x och v0y för vx och vy, se bild.

3. Det du har räknat ut är y-positionen då bollen tar mark. Den informationen är bra att ha på slutet, men det är inte svaret på frågan.
Svaret på frågan är istället kastets höjd ovan utkastpositionen plus utkastpositionens höjd ovan marken.
Lösningsförslag. Säg till om det är något du inte förstår.
Vi börjar med att göra en skiss över bollbanan från utkastpunkten (x0, y0) tills den landar på marken.
Jag väljer att lägga in koordinatsystemet så att x-axeln motsvarar marknivån och x-axeln går genom utkastpunkten.
Det ger oss att x0 = 0 och att utkastpunkten är på höjden y0 ovan mark:

Bollen påverkas inte av någon kraft i x-led och endast av den nedåtriktade gravitationen i y-led.
Accelerationskomposanterna blir därför ax = 0 och ay = -g -9,82 m/s2
Komposanterna av ursprungshastigheten v0 är v0x = v0•cos(50°) och v0y =v0•sin(50°).
==============
Våra ekvationer för position och hastighet blir då
x(t) = v0x•t = v0•cos(50°)•t
y(t) = y0 + v0y•t - gt2/2 = y0 + v0•sin(50°)•t - gt2/2
vx(t) = v0x = v0•cos(50°)
vy(t) = v0y - 9,82t = v0•sin(50°) - gt
==============
Nu är vi redo att lösa uppgiften.
Vi vill veta bollens högsta höjd ovan marken, dvs vad y(t) är då bollen är i sitt högsta läge, dvs då vy(t) = 0.
Om tidpunkten då bollen är i sitt högsta läge är t1 så gäller alltså 0 v0 •sin(50°} - 9,82t1, dvs t1 1,17 s.
Bollhöjden vid denna tidpunkt ges av y(t1) = y0 + v0•sin(50°)•t1 - gt12/2
Problemet nu är att vi inte känner till utkasthöjden y0.
Men den kan vi ta reda på genom att lösa ekvationen y(t2) = 0, där t2 är tidpunkten då bollen tar mark, vilket sker vid x(t) = 25 m.
Vi har alltså att 25 = v0•cos(50°)•t2, vilket ger oss t2 2,59 s.
Nu kan vi ta reda på y0 genom att lösa ekvationen y(t2) = 0, dvs y0 + v0•sin(50°)•2,59 - 9,82•2,592/2 0, vilket ger oss y0 3,24 m.
Slutligen får vi nu svaret y(1,17) 3,24 + v0•sin(50°)•1,17 - 9,82•1,172/2 10 m.
Svar: Kastets höjd ovan marken är cirka 10 meter.