Stokastisk analys/options prissättning
Hej!
Jag sitter fast på följande uppgift:

Jag känner mig väldigt osäker så fort vi blandar in någon typ av "max av {...}".
Jag vet inte riktigt vart jag ska börja, någonting med risk-neutral valuation?
Tack!
Hej,
Du kan börja med att skriva systemet på matrisform.
där
och
och
samt
Korrigering: Matristyperna passar inte ihop i multiplikationen så denna term berhöver rättas till.
Just det, tack. Jag tror att jag är någonting på spåret genom att använda "state-space reduction", dvs. skriva om funktionen , och sen använda , låter det rimligt?
Så vår prissättningsfunktion är .
Vi behöver alltså lösa följande PDE:
där och .
Har jag tänkt fel någonstans? Hur kommer jag vidare? Känns som ett hav av variabler och matriser att ha koll på...
EDIT: Black-Scholes ekvation kanske? Det passar in i PDE'n ovan.
EDIT 2: Jag menar också att .
Moffen skrev:Just det, tack. Jag tror att jag är någonting på spåret genom att använda "state-space reduction", dvs. skriva om funktionen , och sen använda , låter det rimligt?
Så vår prissättningsfunktion är .
Vi behöver alltså lösa följande PDE:
där och .
Har jag tänkt fel någonstans? Hur kommer jag vidare? Känns som ett hav av variabler och matriser att ha koll på...
EDIT: Black-Scholes ekvation kanske? Det passar in i PDE'n ovan.
EDIT 2: Jag menar också att .
Ingenting av det du skrivit verkar vettigt för mig.
- Vad är och varför skulle den kunna reduceras?
- Varför är prissättningen så som du skriver
- och varför styrs den av den PDE som du angivit?
- Är och samma funktion? Är differentierbar?
Hej!
Jag ber om ursäkt, härledningen ska finnas i boken "Arbitrage theory in continuous time" av Tomas Björk, vet tyvärr inte riktigt vilken utgåva.
Ja, phi och phi ska vara samma funktion, fick inte till falluppdelnings klammern i LaTeX här på PA. Jag tror inte att dom behöver vara differentierbara.
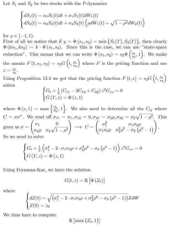
Hur som helst, om vi tar det som givet så är jag fast vid (om jag nu gjort rätt, inte helt säker men jag bifogar min lösning iallafall) att beräkna där .
Visa spoiler

Ser du något uppenbart fel?
Jag har ingen aning hur jag kommer vidare.
EDIT: Jag inser nu också att det var ett dåligt val att använda som matris, element i matris, och därmed "element" i matris.
Hej,
Det första hindret som måste överbryggas är korrelationen mellan bruset som styr och bruset som styr ; vanligtvis antas dessa brus vara oberoende processer.
Dynamiken skrivs på matrisform
där volatilitetsmatrisen hanterar korrelationen mellan de två brusprocesserna. Vektor består som vanligt av två oberoende Wienerprocesser.
Beteckningen är diagonalmatris bildad av vektor .
och
och för varje fixerad korrelation definieras
.
Nu är dynamiken uttryckt på standardform och existerande resultat kan tillämpas för att bestämma den sökta prisprocessen för det aktuella kontraktet .
Albiki skrev:Hej,
Det första hindret som måste överbryggas är korrelationen mellan bruset som styr och bruset som styr ; vanligtvis antas dessa brus vara oberoende processer.
Dynamiken skrivs på matrisform
där volatilitetsmatrisen hanterar korrelationen mellan de två brusprocesserna. Vektor består som vanligt av två oberoende Wienerprocesser.
Beteckningen är diagonalmatris bildad av vektor .
och
och för varje fixerad korrelation definieras
.
Nu är dynamiken uttryckt på standardform och existerande resultat kan tillämpas för att bestämma den sökta prisprocessen för det aktuella kontraktet .
Hej!
Tack för svar.
Jag tror att detta (tillvägagångssättet i min början till en lösning) är den enda metod vi gått igenom för "multidimensional cases". Men du har nog rätt i att det kanske blir lite knas då och inte är helt okorrolerade.
Har du någon annan idé hur man kan lösa detta? Eller en annan idé genom att använda "state-space reduction" (metoden i min lösning)?
För att du ska kunna använda existerande resultat om kontraktsfunktionen behöver du se till att det aktuella kontraktet kan skrivas på formen
där .
Här är och du behöver undersöka om man kan skriva
där .
Moffen skrev:Albiki skrev:Visa spoiler
Hej,
Det första hindret som måste överbryggas är korrelationen mellan bruset som styr och bruset som styr ; vanligtvis antas dessa brus vara oberoende processer.
Dynamiken skrivs på matrisform
där volatilitetsmatrisen hanterar korrelationen mellan de två brusprocesserna. Vektor består som vanligt av två oberoende Wienerprocesser.
Beteckningen är diagonalmatris bildad av vektor .
och
och för varje fixerad korrelation definieras
.
Nu är dynamiken uttryckt på standardform och existerande resultat kan tillämpas för att bestämma den sökta prisprocessen för det aktuella kontraktet .
Hej!
Tack för svar.
Jag tror att detta (tillvägagångssättet i min början till en lösning) är den enda metod vi gått igenom för "multidimensional cases". Men du har nog rätt i att det kanske blir lite knas då och inte är helt okorrolerade.
Har du någon annan idé hur man kan lösa detta? Eller en annan idé genom att använda "state-space reduction" (metoden i min lösning)?
Jag har givit dig lösning till problemet; allt är upplagt för att du ska tillämpa gängse metodik för oberoende Wienerprocesser på den aktuella situationen. Den enda utmaningen i uppgiften handlade om hur korrelationen skulle hanteras.
Jag har givit dig lösning till problemet; allt är upplagt för att du ska tillämpa gängse metodik för oberoende Wienerprocesser på den aktuella situationen. Den enda utmaningen i uppgiften handlade om hur korrelationen skulle hanteras.
Ok. Så min nuvarande lösning som jag la i spoilern är OK (förutsatt att dynamiken jag skrivit upp för är korrekt).
Då återstår det fortfarande att beräkna , och det är väl där jag sitter fast just nu.
Tips?
EDIT: Dynamiken för hittade jag genom att jämföra dess PDE med Ito's formel.
Var kommer max in i bilden? Pratar vi inte om samma problem längre? Uppgiften handlar om min-kontrakt, inte om max-kontrakt. Bokens exempel handlar om max-kontrakt...
Albiki skrev:Var kommer max in i bilden? Pratar vi inte om samma problem längre? Uppgiften handlar om min-kontrakt, inte om max-kontrakt. Bokens exempel handlar om max-kontrakt...
Ursäkta!
Jag menar självklart min-kontrakt...