0
svar
92
visningar
lund behöver inte mer hjälp
Stokastiska processer, väntevärde
Hej,
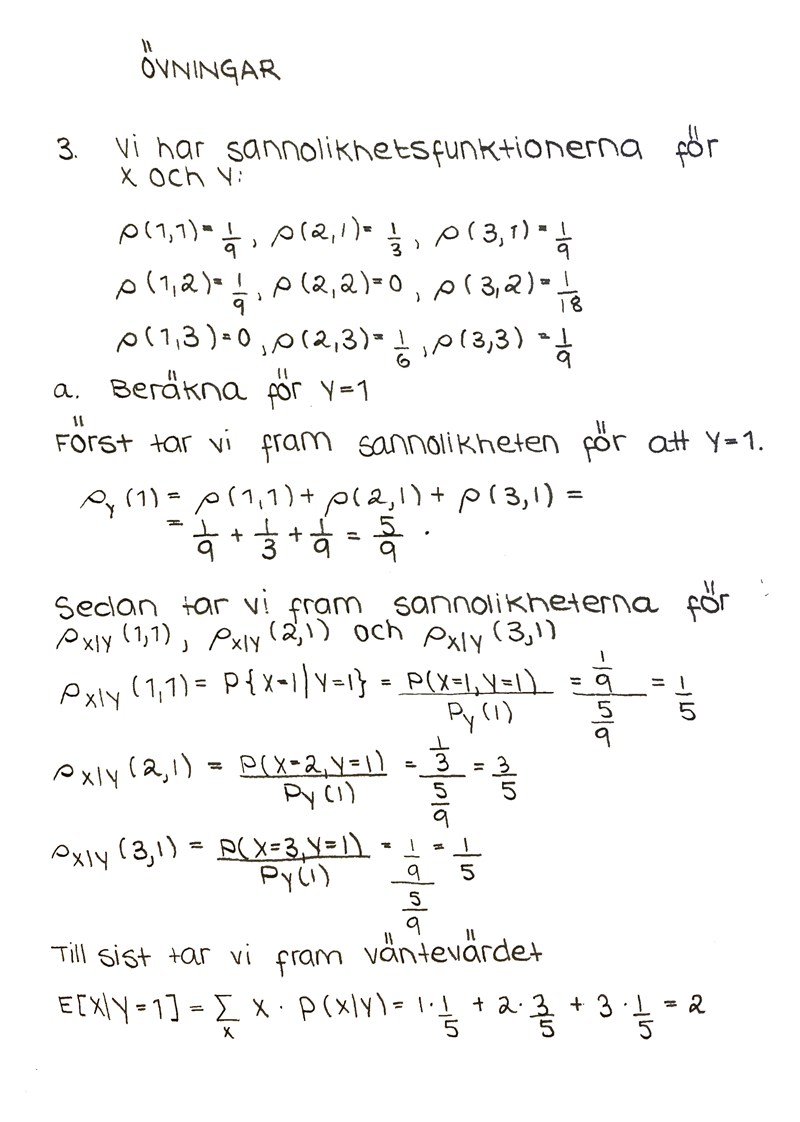
Jag har idag påbörjat en kurs inom stokastiska processer och försöker nu att lära mig grunderna genom att göra uppgifter från kursboken. Jag har dock fastnat på uppgift 3 (se nedan):

Edit: Denna löste jag på egenhand och postar min lösning för Y=1 ifall det är någon som skulle behöva hjälp med denna eller liknande uppgifter.
