2
svar
146
visningar
Faxxi behöver inte mer hjälp
Stokastiska variabler - variansen av flera variabler
Hej! Jag förstår inte lösningsförslaget till följande uppgift.

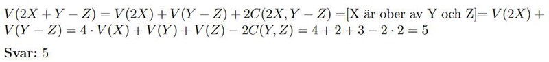
Lösningsförslag:

Jag är nog med på att V(2X+Y-Z)=V(2X)+V(Y-Z) eftersom man kan dela upp varianserna om vokalerna är oberoende (här är X oberoende av Y och Z). Men sedan förstår jag inte hur 2C(2X,Y-Z) kommer in i bilden. Vad är det för samband som används?
V(x+y) =v(x) + v(y) +2c(x, y) är väl den vanliga uppdelningen av varianser. Sen om de är oberoende blir den sista 0.
Jaa, det har du rätt i. Glömde bort att det fanns en formel utöver den specifika för oberoende. Tack!