0
svar
66
visningar
Soderstrom behöver inte mer hjälp
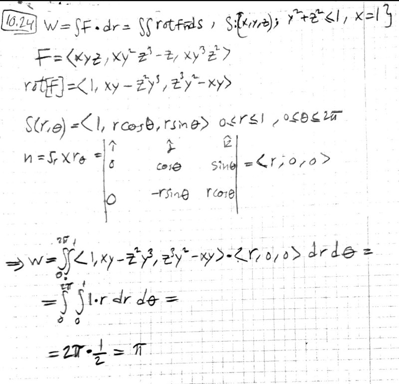
Stokes formel?
1. Jag vet att det går att använda Stokes formel. Men är det "rätt" att utgå från formeln i första raden? Jag får dock en jobbig integrand, ja.
2. Om det går att utgå från formeln jag skrev, är intervallet för t rätt?


Lösning med Stokes (rätt svar enligt facit, dock osäker om det var pga "slump")
