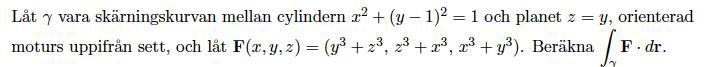
Stokes sats
Nu är jag jätteförvirrad här... 

för att hitta normalen i denna uppg så gör dom att man tar kryssprodukten av och .
Meeeeen!! Är det samma sak som att ta ?
och positiv 1 på -position medför att det är positiv orienterad?
----
ps. hur har de paramatiserat här?
1+ r sin??
Nästan, du har glömt två minustecken.
För en yta med x och y som parametrar gäller
I det här fallet är ytan varför en normal som pekar "uppåt" till ytan är .
är inte en normal till ytan.
Däremot är det. Beräknar du märker du att du får samma resultat som . Den positiva ettan indikerar att normalen pekar uppåt i z-led, och eftersom är orienterad i positiv riktning uppifrån sett betyder detta att normalen pekar åt rätt håll.
Du kan få en normal som pekar nedåt från planet genom att multiplicera normalen med . Detta betyder alltså att även är en normal till planet, men denna normal pekar nedåt i -led, vilket ger fel orientering.
Variabelbytet med är för att man vill centrera området i origo (annars blir ju området centrerat i vilket leder till en massa krångel).
AlvinB skrev:Variabelbytet med är för att man vill centrera området i origo (annars blir ju området centrerat i vilket leder till en massa krångel).
Men var kommer (0,1) ifrån?
heymel skrev:AlvinB skrev:Variabelbytet med är för att man vill centrera området i origo (annars blir ju området centrerat i vilket leder till en massa krångel).
Men var kommer (0,1) ifrån?
Är du med på att cirkeln är centrerad i ?
AlvinB skrev:heymel skrev:AlvinB skrev:Variabelbytet med är för att man vill centrera området i origo (annars blir ju området centrerat i vilket leder till en massa krångel).
Men var kommer (0,1) ifrån?
Är du med på att cirkeln är centrerad i ?
ja jaaaa.. då är jag med :))) tack!
på återseende