1
svar
296
visningar
Jaghatarfysik behöver inte mer hjälp
stokes sats

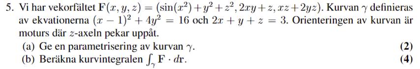
uppgift 5b
jag har gjort som följande parametriserat kurvan till
x= 1 + 4cos(a), y = 2sin(a), z = 3-y-2x, där t går från 0 till 2pi
använder mig av stokes sats, dock använder satsen sig av en dubbel integral jag vet inte riktigt mellan vilka värden dessa integraler ska ligga emellan. y är randen av där de två ekvationeran skär varandra.
Stokes använder en yta där kurvan är en randkurva. Tex kan du välja den del av ytan 2x + y + z = 3 som ringas in av .