7 svar
74 visningar
Lilly01 behöver inte mer hjälp
Lilly01 5 – Fd. Medlem
Postad: 16 mar 2022 00:05

Största arean på triangeln

Hej ! Jag har fått denna uppgift och lärarens lösning blev att funktionen för arean = 4/a + 2a + a^3/4 och att 0<a<2 och sedan skrev han direkt då blir största värdet på a = 1,15 och han satte den i funktionen för arean och fick 1,16… men jag fattar inte hur han fick att a ska vara 1,15 

Yngve Online 42402
Postad: 16 mar 2022 06:42

Hej och välkommen till Pluggakuten!

Känner du till begreppet derivata och hur det kan användas till att hitta det största ock minsta värdet på en funktion?

Läraren har antagligen använt detta för att hitta just det a-värdet. Jag har inte kontrollräknat, 

Men resultatet bör ge den minsta arean, inte den största. 

Lilly01 5 – Fd. Medlem
Postad: 16 mar 2022 08:41 Redigerad: 16 mar 2022 09:06
Yngve skrev:

Hej och välkommen till Pluggakuten!

Känner du till begreppet derivata och hur det kan användas till att hitta det största ock minsta värdet på en funktion?

Läraren har antagligen använt detta för att hitta just det a-värdet. Jag har inte kontrollräknat, 

Men resultatet bör ge den minsta arean, inte den största. 

Yess och jag har försökt att derivera areans funktion och sätta den lika med noll då blir a = 2 men a får inte vara 2 så hur fick han fram att a är 1,15. 
jag ska försöka derivera areans funktion igen jag kanske har deriverat fel men bisst blir derivatan -4a^-2 + 2 + 3a^2/4 ? 

Yngve Online 42402
Postad: 16 mar 2022 12:43

Ja, din derivata stämmer.

Visa hur du löser ekvationen så kan vi hjälpa dig att hitta felet i uträkningen.

Lilly01 5 – Fd. Medlem
Postad: 16 mar 2022 13:30 Redigerad: 16 mar 2022 13:38

Yngve skrev:

Ja, din derivata stämmer.

Visa hur du löser ekvationen så kan vi hjälpa dig att hitta felet i uträkningen.

jag har gjort så för att få ut Arean av triangeln ska jag bara derivera den nu och sätta den lika med noll för att få vad a blir? Eller har jag gjort något fel

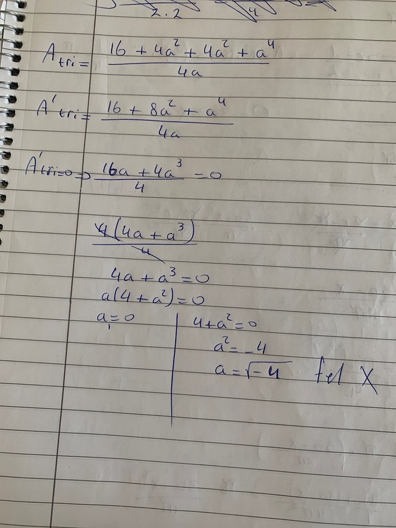
detta är hur jah deriverade och satte derivatan lika med noll men jag får bara a=0 och a=roten ur -4 som är natlurligtvis inte rätt, hur ska jag få ut att a ska vara 1,15  som störst 

Lilly01 5 – Fd. Medlem
Postad: 16 mar 2022 13:47

och här provade jag att ha arean av triangel som a . (4-a^2)/ 2 och när jag deriverade den då blev a 1,15 men när jag ska kolla y koordinaten för a då får jag 1,5 och inte 6,16 som är lärarens svar :( jag blir så förrvirrad bara 

Yngve Online 42402
Postad: 16 mar 2022 18:42 Redigerad: 16 mar 2022 18:44

Du skrev rätt derivata i svar #3, men nu har du fått fram fel derivata.

Det gäller att A(a) = 4/a + 2a + a3/4

Derivatan blir då A'(a) = -4/a2 + 2 + 3a2/4

Ställ nu upp och lös x ekvationen A'(a) = 0

Det ger dig -4/a2 + 2 + 3a2/4 = 0

Ett tips kan då vara att tillfälligt ersätta a2 med t, vilket ger dig den enklare ekvationen -4/t + 2 + 3t/4 = 0.

Lös den och byt sedan tillbaka från t till a2.

Lilly01 5 – Fd. Medlem
Postad: 16 mar 2022 19:40
Yngve skrev:

Du skrev rätt derivata i svar #3, men nu har du fått fram fel derivata.

Det gäller att A(a) = 4/a + 2a + a3/4

Derivatan blir då A'(a) = -4/a2 + 2 + 3a2/4

Ställ nu upp och lös x ekvationen A'(a) = 0

Det ger dig -4/a2 + 2 + 3a2/4 = 0

Ett tips kan då vara att tillfälligt ersätta a2 med t, vilket ger dig den enklare ekvationen -4/t + 2 + 3t/4 = 0.

Lös den och byt sedan tillbaka från t till a2.

Yess nu har jag fått rätt svar!! Att byta a^2 till t gjorde allt enklare tack så jätte mycket för hjälpen!! 

Svara
Close