Största minsta värde, klot, flervariabel

Har hittat de stationära punkterna men det är randen jag inte riktigt förstår.
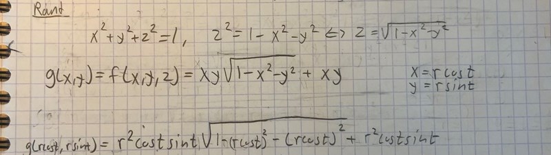
Om jag har rätt så är området enhetsklotet, begränsad till första oktanten.
Så tydligen finns det två metoder här, att behandla randen som en "vanlig" yta eller att parametrisera randen med polära kordinater. Jag vill använda polära kordinater.
Hur jag har börjat:
Löste ut z ifrån randen. Det gav ett rotuttryck som jag satte in i f. Ersatte sedan x,y med polära kordinater. Försöker se på uttrycket hur fmax kan bli 16/27 men ser det inte. Tänker även att vi måste begränsa vinkeln för de polära kordinaterna. Istället för 2pi använda kanske 1/2pi?
Svar: fmax = 16/27, fmin = 0
Som vanligt: Har du ritat?
Ditt område är i första kvadranten, så vinkeln skall gå från 0 till .
Varför inte använda sfäriska koordinater?
Smaragdalena skrev:Som vanligt: Har du ritat?
Ditt område är i första kvadranten, så vinkeln skall gå från 0 till .
Varför inte använda sfäriska koordinater?
Se svaret nedan, det är till en liknande uppgift. Sedan mitt försöka att efterlikna det.
Funktionen till 4.14 är: f(x,y,z)=x^2+2yz

Ser bra ut så långt, kan du förenkla uttrycket lite?
Använd
Går det att göra något åt uttrycket under rottecknet?
I vilket intervall ligger ? Vilket bör vi välja för att maximera? Vilket värde ska vi slutligen välja för ?
D4NIEL skrev:Ser bra ut så långt, kan du förenkla uttrycket lite?
Använd
Går det att göra något åt uttrycket under rottecknet?
I vilket intervall ligger ? Vilket bör vi välja för att maximera? Vilket värde ska vi slutligen välja för ?
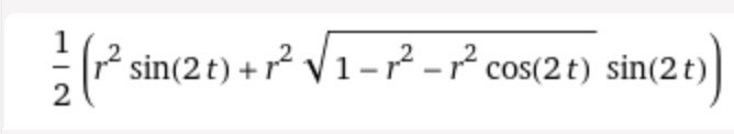
Tackar, då var jag inne på rätt spår. Förenklat uttryck:

Intervall för t borde vara:
Så välja t som maximerar uttrycket. Samt troligtvis välja r som 1.
Men kopplar inte riktigt vilket värde på t som ska användas. Intuitivt antar jag att det är pi/8, men det är endast en chansning.
Vad är standardmetoden när man vill ta reda på vilket (t ex) t som maximerar ett visst uttryck?
Jag tror du har slarvat lite under rottecknet
Så du borde få
Det värde som maximerar är det värde som gör att sinusfunktionen antar värdet 1.
För vilket värde på i intervallet inträffar det?
När kvarstår att maximera
D4NIEL skrev:Jag tror du har slarvat lite under rottecknet
Så du borde få
Det värde som maximerar är det värde som gör att sinusfunktionen antar värdet 1.
För vilket värde på i intervallet inträffar det?
När kvarstår att maximera
Nu blev uttrycket enklare.
Så derivera, sätt = 0 lös ut r?
Ja, det är bara att räkna ut , eventuellt kan återsubstitutionen och därmed göra livet enklare när du kommit en bit på vägen.