1
svar
97
visningar
Splash.e behöver inte mer hjälp
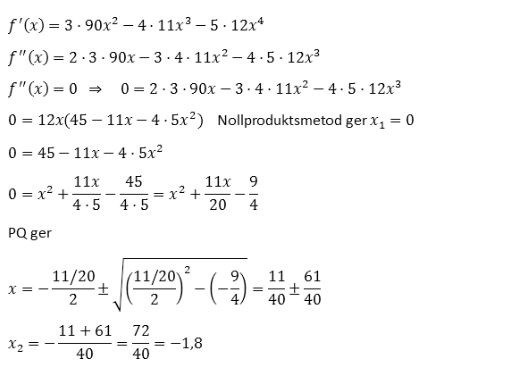
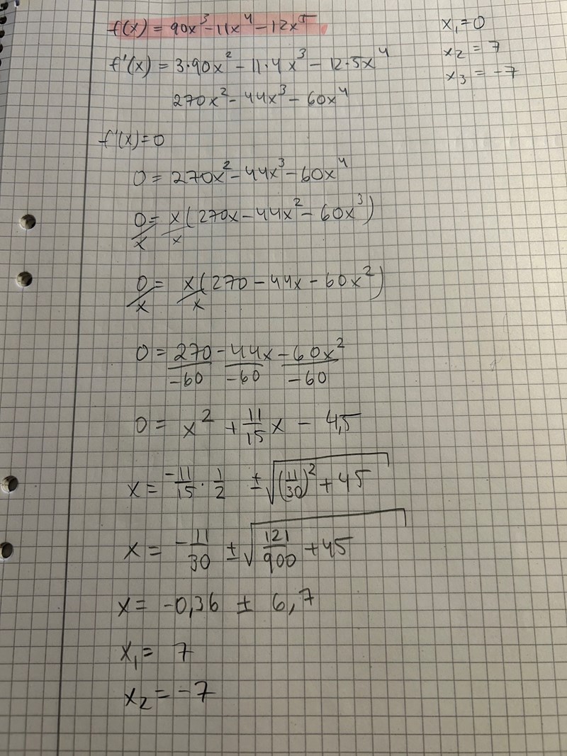
Största och minsta värde


Sedan genomfördes en värdeväxlingstabell, och svaret blir att det största värdet är när x=-1.8. Men varför görs två stycken deriveringar med två stycken apostrofer. F''(x)?!!! När jag bara gör uppgiften med en f'(x) får jag fel svar, men det borde väl gå att få rätt svar med enbart f'(x<) också? Antar att det är jag som har gjort ett slarvfel?
Såhär gjorde jag.. vad gjorde jag för fel?
Du måste hitta x-värde för derivatans största värde, inte funktionens största värde.
De andraderiverar för att de ska hitta högsta punkten för första derivatan