Största och minsta värde
Hej! Jag försökt lösa denna uppgift men vet ej hur jag ska gå vidare. Jag vet inte hur jag ska hitta randpunkter. 
y = x är ena randen. Sätt in i f(x,y), derivera, etc.
seta.77 skrev:Hej! Jag försökt lösa denna uppgift men vet ej hur jag ska gå vidare. Jag vet inte hur jag ska hitta randpunkter.
Området begränsas av randpunkter som kan delas upp i två grupper:
- Alla punkter som uppfyller sambandet . Det innebär att på denna rand beskrivs funktionens värde av . Sök efter största och minsta värde längs denna rand (inom angivet intervall).
- Alla punkter som uppfyller sambandet . Det innebär att på denna rand beskrivs funktionens värde av . Sök efter största och minsta värde längs denna rand (inom angivet intervall).
Yngve skrev:seta.77 skrev:Hej! Jag försökt lösa denna uppgift men vet ej hur jag ska gå vidare. Jag vet inte hur jag ska hitta randpunkter.
Området begränsas av randpunkter som kan delas upp i två grupper:
- Alla punkter som uppfyller sambandet . Det innebär att på denna rand beskrivs funktionens värde av . Sök efter största och minsta värde längs denna rand (inom angivet intervall).
- Alla punkter som uppfyller sambandet . Det innebär att på denna rand beskrivs funktionens värde av . Sök efter största och minsta värde längs denna rand (inom angivet intervall).
Tack så mycket för din förklaring! Det hjälpte mycket! :) Jag gjorde så och har fått fram..Vill bara dubbelkolla intervallet...Vad är intervallet i detta fall?
Laguna skrev:y = x är ena randen. Sätt in i f(x,y), derivera, etc.
Tack! Jag har gjort det och har fått fram olika punkter...fast är lite osäkert på intervallet.Vad är intervallet i detta fall?
seta.77 skrev:Laguna skrev:y = x är ena randen. Sätt in i f(x,y), derivera, etc.
Tack! Jag har gjort det och har fått fram olika punkter...fast är lite osäkert på intervallet.Vad är intervallet i detta fall?
Kurvorna skär varandra i två punkter. Ta reda på vilka så har du intervallet.
Laguna skrev:seta.77 skrev:Laguna skrev:y = x är ena randen. Sätt in i f(x,y), derivera, etc.
Tack! Jag har gjort det och har fått fram olika punkter...fast är lite osäkert på intervallet.Vad är intervallet i detta fall?
Kurvorna skär varandra i två punkter. Ta reda på vilka så har du intervallet.
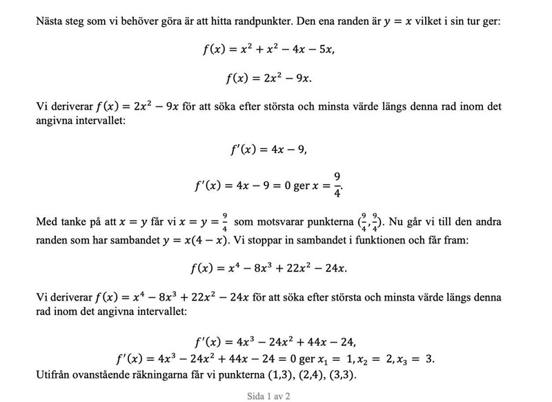
Jag tänkte så fast vet inte om det är rätt:
Enligt uppgiften begränsas xy-planet av kurvorna med ekvation x=y och y=x(4-x). Detta innebär att punkterna (9/4,9/4), (3,3), (1,3) och (2,4) ligger i intervallet.
Standardfråga 1a: Har du ritat?
Smaragdalena skrev:Standardfråga 1a: Har du ritat?
Nej faktiskt...
Jag har kommit så här långt:


seta.77 skrev:Smaragdalena skrev:Standardfråga 1a: Har du ritat?
Nej faktiskt...
Varför inte? Det är absolut vad jag skulle börja med för att lösa den här uppgiften. Då får man ett hum om vad det är man håller på med, och kan omedelbart se om man har fått fram ett värde som är helt fel.
Smaragdalena skrev:seta.77 skrev:Smaragdalena skrev:Standardfråga 1a: Har du ritat?
Nej faktiskt...
Varför inte? Det är absolut vad jag skulle börja med för att lösa den här uppgiften. Då får man ett hum om vad det är man håller på med, och kan omedelbart se om man har fått fram ett värde som är helt fel.
Jag har lyckats att hitta minsta värdet men inte största värdet. Jag ritade grafen och x=y och y=x(4-x) skär varandra i (0,0) och (3,3)...Så här ser ut mina resultat. Så jag antar att största värdet saknas eller det är 0?
Varför skulle största värde saknas?
Smaragdalena skrev:Varför skulle största värde saknas?
Kan 0 var största värde?
Varför skulle inte 0 kunna vara största värde? Det är ju större än alla andra värden, det har du visat.