4 svar
321 visningar
Manoel behöver inte mer hjälp
Manoel 200
Postad: 19 jul 2020 23:36

Sträcka efter rörelse med acceleration

Hej
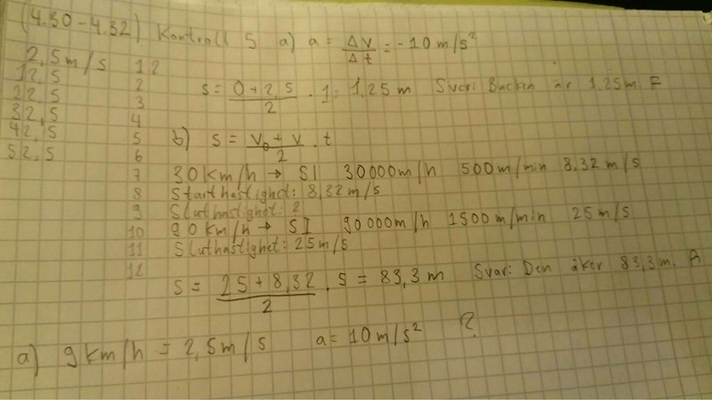
Jag försöker sätta in hastigheter (v0 & v) i en formel ( s=v0+v2×t ) för att få fram rätt svar (60m).
Här är uppgiften (Kontroll 5a):
Exempel 6:
Exempel 7a:
Mitt försök att lösa uppgiften kontroll 5a:
Hur får man fram (v0 & v) och tiden (t) samt är accelerationen positiv eller negativ?

Laguna 32119
Postad: 20 jul 2020 01:22

Var kommer 30 km/h ifrån? 

Manoel 200
Postad: 20 jul 2020 13:50 Redigerad: 20 jul 2020 13:51

Det är från uppgiften kontroll 5b som jag löst som också är med på bilden.

Jroth 1191 – Fd. Medlem
Postad: 20 jul 2020 15:04 Redigerad: 20 jul 2020 15:05

Enligt formeln får du

s=v0+v2t=7.5+2.52·12=60ms=\frac{v_0+v}{2}t=\frac{7.5+2.5}{2}\cdot 12=60\mathrm{m}

Accelerationen är a=v-v0t0.42m/s2a=\frac{v-v_0}{t}\approx 0.42\mathrm{m/s^2}

Vad som menas med "beräkna backens längd i exempel 6" med en helt annan acceleration kan tolkas precis hur som helst.  Klart är att vi inte kan rulla nedför backen med en acceleration som överstiger gg.

Manoel 200
Postad: 22 jul 2020 13:54

Tiden och start- och sluthastighet kommer bli annorlunda i formeln men det ska ju endå bli 60m. Fast jag undrade bara om ni visste vad de skulle kunna bli med accelerationen från exempel 7a.

Svara
Close