6 svar
86 visningar
Marcus N behöver inte mer hjälp
Marcus N 1775
Postad: 23 jan 2022 13:29

Ström

 

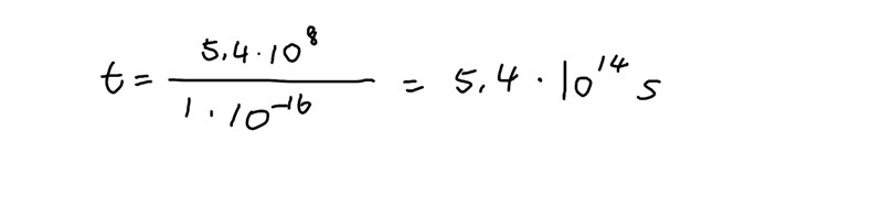
Varför står det t=86 mikro sekunder i facit? 

Bubo 7965
Postad: 23 jan 2022 13:32

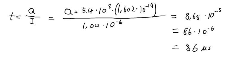
Antalet elektroner är 5.4*108. De har laddningen 1.602*10-19 C = 1.602*10-19 As.

Strömstyrka är laddning per tidsenhet, inte antal elektroner per tidsenhet.

Laguna 32003
Postad: 23 jan 2022 13:37

Du kan kolla om enheten verkligen blir s. Ett antal delat med C/s blir s/C, inte s.

Marcus N 1775
Postad: 23 jan 2022 13:42 Redigerad: 23 jan 2022 13:50
Bubo skrev:

Antalet elektroner är 5.4*108. De har laddningen 1.602*10-19 C = 1.602*10-19 As.

Strömstyrka är laddning per tidsenhet, inte antal elektroner per tidsenhet.

Så det borde blir så här:

Bubo 7965
Postad: 23 jan 2022 13:46

Vad är laddningen?

Marcus N 1775
Postad: 23 jan 2022 13:51
Bubo skrev:

Vad är laddningen?

Laddning ska vara:antalet elektroner * elementar laddning=5.4*108*(1.602*10-19) C

Bubo 7965
Postad: 23 jan 2022 13:54

Just det. Bra. Nu är det rätt.

 

Men ändra inte dina svar sådär i efterhand. Det blir svårt att läsa tråden nu.

Svara
Close