10 svar
913 visningar
Manoel 200
Postad: 26 sep 2020 20:42

Ström & potential i en elektrisk krets

Jag försöker lösa en Fysik 1 uppgift tills på söndag 23:59. Den här:
"
Läs sidor 127-202 samt öva på kapitlets uppgifter innan du ska göra uppgiften.


Uppgift.

Till ett batteri med spänningen 9,0 V ansluts fyra resistorer enligt figur. Punkten J jordas.

1. Bestäm strömmen genom batteriet.

2. Bestäm potentialen i punkten P.

 

Viktigt!


Storheter och enheter i Fysik:

https://ckfysik.se/fy1/text_storheter_enheter_fy1.pdf

Avrunda korrekt med gällande siffror:

http://ollevejde.se/matteord/gallandesiffra.htm

"
Såhär långt (se nedan) har jag kommit och undrar om det är rätt?

Smaragdalena 78892 – Avstängd
Postad: 26 sep 2020 20:54

Nej. Resistorerna med resistansen 6,7Ω6,7\Omega respektive 4,5Ω4,5\Omega är parallellkopplade, och du har räknat som om de vore seriekopplade.

Manoel 200
Postad: 26 sep 2020 21:17

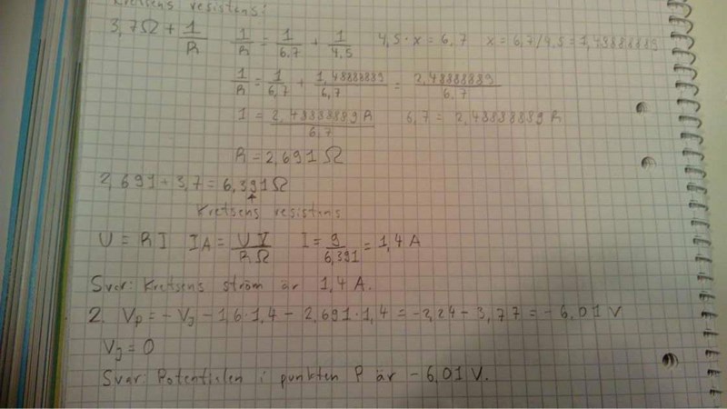
Jaha. Det stämmer. Tack. Nu har jag kanske lyckats få fram kretsens resistans:
Stämmer det?

Smaragdalena 78892 – Avstängd
Postad: 26 sep 2020 21:41

Vad blir ersättningsresistansen för de båda parallellkopplade resistorerna?

Manoel 200
Postad: 26 sep 2020 21:53 Redigerad: 26 sep 2020 21:54

Ersättningsresistansen för de parallelkopplade resistorerna är: 2,691 Ω.

Ture 11046 – Livehjälpare
Postad: 26 sep 2020 22:03

Ja rätt så långt. Om du adderar de två seriekopplade motstånden, vad blir totala resistansen? 

Manoel 200
Postad: 26 sep 2020 22:09

Den totala resistansen blir: 2,691+3,7=6,391Ω.

Såhär ser det ut när jag försökt (m.h.a.: https://www.pluggakuten.se/trad/bestamma-potential-for-en-punkt-i-en-krets/)  med uppgift 2:
Ganska najs och enkelt (båda uppgifterna) fast verkar inte ha blivit exakt samma värde på uppgift 2 fast det borde nog funka väl?

Smaragdalena 78892 – Avstängd
Postad: 26 sep 2020 22:12

Då måste jag ha slagit fel på räknaren förra gången. 

Då stämmer det att totalresistansen är 6,4 Ω\Omega

Vilken blir strömmen genom kretsen?

Manoel 200
Postad: 27 sep 2020 08:04

Strömmen blir I=96,391 A=1,4 A.

Manoel 200
Postad: 27 sep 2020 17:36

Jag har renskrivit svaren på uppgifterna (se nedan) och nu har jag ett problem.

Kan någon utveckla det här åt mig så att jag fattar vad det betyder: 6,7-1+4,5-1-1. Det ser ut att gå att skriva om det med ett bråkstreck. Om det går, kan ni göra det för mig som en del av en förklaring?

Smaragdalena 78892 – Avstängd
Postad: 27 sep 2020 20:40 Redigerad: 27 sep 2020 20:44

(6,7-1+4,5-1)-1=116,7+14,5(6,7^{-1}+4,5^{-1})^{-1}=\frac{1}{\frac{1}{6,7}+\frac{1}{4,5}}

Du bör ha lärt dig i matten att a-1=11a^{-1}=\frac{1}{1}. Här har man använt sig av det typ tre gånger.

Svara
Close