Strömfördelning i elektrisk krets

Såhär löste jag den först:
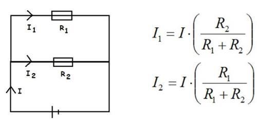
Hur som helst har jag läst att det här sambandet existerar för parallellkopplade komponenter:
Den övre lösningen är korrekt, den undre fel. Varför är den undre fel?
Om den övre lösningen är korrekt, borde resistansen i de två översta resistorerna blir 3R. Hur kan man komma fram till det?
Jag kan inte helt följa ditt resonemang. Spänningen över de parallell-kopplade är ej U ej heller över den i serie. Skall du räkna med strömmar: Spänningen över de parallella Up = I* R/2 och i serie Us= I*R. U=Up+Us.
På ett annat sätt kan man först, genom att tillämpa spänningsdelning, beräkna spänningen över de två parallellkopplade motstånden som:
rapidos skrev:Jag kan inte helt följa ditt resonemang. Spänningen över de parallell-kopplade är ej U ej heller över den i serie. Skall du räkna med strömmar: Spänningen över de parallella Up = I* R/2 och i serie Us= I*R. U=Up+Us.
Enligt ditt resonemang är och ström (I) lika stora. Du har benämnt bådas strömmar med I.
Affe Jkpg skrev:På ett annat sätt kan man först, genom att tillämpa spänningsdelning, beräkna spänningen över de två parallellkopplade motstånden som:
Smart, ungefär det jag gör i min övre lösning.
Affe Jkpg skrev:På ett annat sätt kan man först, genom att tillämpa spänningsdelning, beräkna spänningen över de två parallellkopplade motstånden som:
Förstår dock inte varför man kan räkna ut spänningen genom att multiplicera U med resistansen för parallellkopplingen med hela kretsens resistans.
Den här videon förklarar det väldigt bra
Förstår dock inte varför man kan räkna ut spänningen genom att multiplicera U med resistansen för parallellkopplingen med hela kretsens resistans.
Spänningsdelning:
Du kan komma ha stor nytta av att även lära dig strömdelning:
I princip har jag inte lärt mig spänningsdelning och strömdelning utantill. Däremot har jag lärt mig att bägge har samma nämnare (R1 + R2). Sedan är det inte så svårt att "fundera ut" vilken resistans som ska stå i täljaren.
Dualitetsförhållandet skrev:rapidos skrev:Jag kan inte helt följa ditt resonemang. Spänningen över de parallell-kopplade är ej U ej heller över den i serie. Skall du räkna med strömmar: Spänningen över de parallella Up = I* R/2 och i serie Us= I*R. U=Up+Us.
Enligt ditt resonemang är och ström (I) lika stora. Du har benämnt bådas strömmar med I.
Mitt resonemang följer Affe. Up=spänningen över de parallella motstånden som bildar ett nytt motstånd Rp. Dvs Up=RpI =R/2*I. Man kan också betrakta strömmen genom resp motstånd i parallell = I/2 eftersom motstånden är lika stora, dvs Up = I/2*R.