Strukturer
Hej!
jag har denna uppgift och facit ser ni. 
Detta är mitt svar

vilken är rätt?
Markera din längsta kolkedja, den som du får från "dekan".
Hur då?
Kan du kanske stryka över den med en överstrykningspenna eller rita på bilden i mobilen/datorn. Här är ett exemepl bara för att visa vad jag menar: 
Men jag vill att du markerar din längsta kolkedja (den med flest kol i)
Finns det fler alternativ?
Ja, alltså det finns ju fler "vägar", men det förändrar väl inget?
Nej inte i detta fallet. Men i facits molekyl finns det flera möjliga längsta kedjor. Om du hittar dessa så kan du förhoppningsvis se att ni har ritat samma molekyl!
Skulle du kunna hjälpa mig, för jag lyckas inte?
Ex. såhär (det finns fler)

Men är inte min fel, eftersom jag ritat en isopropyl när det ska vara en propyl?
Du är på hugget, du! Jag var för snabb när jag tänkte i inlägg #8. Men då kanske du ser vad som behöver ändras?
Detta blir då rätt:??

Hur många koll har du i din längsta kollega nu egentligen?
11, och då blir det fel..
Men hur ska man då tänka när man ritar sådana här? För om jag bara tar bort det sista kolet blir det ju också fel.
Så här kan man göra:
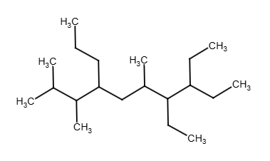
7,8-dietyl-2,3,6-trimetyl-4-propyldekan
Vi börjar med Cx10 för en dekan:

Sedan bestämmer jag mig för att räkna från vänster till höger.
7,8-dietyl-2,3,6-trimetyl-4-propyldekan
Etylgrupper på C nummer 7 och 8:

7,8-dietyl-2,3,6-trimetyl-4-propyldekan
Metylgrupper på C nummer 2, 3 och 6:
7,8-dietyl-2,3,6-trimetyl-4-propyldekan
Till slut en propylgrupp på C nummer 4:

Klart!
Notera att strukturformeln endast visar vad som sitter ihop med vad.
Den visar inte hur molekylen ser ut i någon sorts 2D-vy. Vinklarna är godtyckliga/rimliga, valda för att det inte skall bli för trångt. I verkligheten har du en massa enkelbindningar som kan rotera mer eller mindre fritt.
Det finns alltså en massa varianter på den här strukturformlen som alla är lika rätt.
Det enklaste tycker jag är att rita en kolkedja i rätt längd, sedan placera ut (rätt) funktionella grupper på angivna ställen. Då kan du i princip inte få fel. Men det är också viktigt att kunna utgå från facits eller dina klasskompisars strukturer och övertyga dig om att de också är korrekta. Man kan ju rita på många olika sätt (som vi har pratat om i alla tre trådar på detta tema idag :))
Tack så jättemycket för hjälpen till alla som hjälpt mig idag!
fner skrev:Nej inte i detta fallet. Men i facits molekyl finns det flera möjliga längsta kedjor. Om du hittar dessa så kan du förhoppningsvis se att ni har ritat samma molekyl!
så den enda rätta svaret är facits??
