1
svar
309
visningar
Strukturmekanik, utböjning i balk

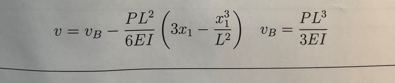
Hej. Tror att jag har hyfsad koll på hur jag ska gå till väga. Jag behöver bara hjälp att tolka formeln. Vad står x1 för? Även försökt att tolka det i diagrammen men blir inte klok!
Jag antar att det är den önskade längden som jag måste sätta in. Även det blir fel..
Det är en variabel som beskriver nedböjningen mätt från höger till vänster. Om du stoppar in får du vilket är nedböjningen längst ut till höger och stoppar du in får du nedböjningen vid infästningen vilken är 0.