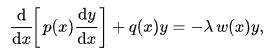
Strum-liouville problem
Hej!
Behöver hjälp med uppgift 3 . Varför behöver man multiplicera det med x för att det ska bli reguljärt? Den är redan reguljärt eftersom p(x) = x, och p(1)=1 vilket ligger i intervallet 1<x<2 , så p(x) > 0
Min lösning : 
Du har x på första och 2 på andra. Derivatan av x är inte 2.
Däremot om du gångrar på ett x så har du x2 och 2x, och x2s derivera är 2x.
Ahaaa så ska
alltså ska 2y' vara antidrivatan av xy" ?
Jag har inte sett det här förut, men det står så här på wikipedia.

Då ser du att alla derivator måste höra ihop med första termen, och om vi räknar ut det med produktregeln ha formen p'*y' +p*y".
Så om vi tittar på dina y' och y"-termer så är p=x och p'=2 just nu, så antar att det inte är bra, men går att lösa med ett x.
Hmmm förstod inte. Men tack ändå!
Vad försökte du själv göra för att testa om den är reguljär? Vad betyder det?