1
svar
97
visningar
Juni200 behöver inte mer hjälp
stryka logaritmer?
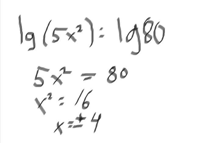
Hej, detta är uppgiften som jag löst och jag har en fråga för att dubbelkolla. Kan man bara stryka logaritmer för att de finns på båda sidorna? 
Det du egentligen gör när du #tryker logaritmerna" är att du gör eVL = eHL och sedan förenklar. Det är en tillåten operation.
När du har fått fram dina rötter, sätt då in dem i ursprungsekvationen och kolla så att du inte har fått några falska rötter.