3 svar
85 visningar
nurijeva 86 – Fd. Medlem
Postad: 17 feb 2023 13:12

Studera funktion

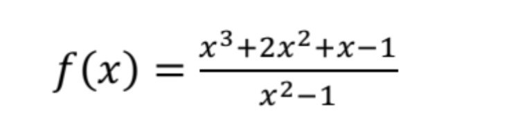
Hejsan! Jag går på matte spec kursen på gymnasiet och behöver studera följande funktion. Jag behöver kolla på

a) Definitionsmängden

b) Gränsvärdet

c) Derivatan 

d) Integralen

e) skissa grafen med hänsyn till asymptoter

Eftersom att jag inte har fått något facit skulle jag uppskatta lite hjälp för att se om jag är på rätt spår:)

Det jag kom fram till är

a) definitions mängden är x tillhör R där x är inte lika med 1 eller -1

b) lim f(x) där x-> oändlighet = går mot oändlighet

c) derivatan är (x4-4x2-2x-1) / (x4-2x2+1)

d) integralen har jag iiiiiiingen aning på hur jag kan tänka :(

e) samma med asymptoter :((( hur kan jag skissa grafen??

 

HADE VARIT OTROLIGT TACKSAM OM JAG FICK LITE HJÄLP TACK PÅ FÖRHAND!!! <3

Laguna Online 31967
Postad: 17 feb 2023 13:14

För c till e blir det lättare om du utför divisionen så du får ett polynom plus en enklare kvot.

nurijeva 86 – Fd. Medlem
Postad: 17 feb 2023 13:16
Laguna skrev:

För c till e blir det lättare om du utför divisionen så du får ett polynom plus en enklare kvot.

Precis! jag försökte jobba med polynom division och fick då f(x)= (x+2)(x2-1) + ((2x+1)/(x2-1))

hur kan jag jobba vidare med den?

Laguna Online 31967
Postad: 17 feb 2023 13:25

Jag tycker (x+2) + ((2x+1)/(x2-1)) verkar rimligare.

Du har en asymptot där mer eller mindre direkt. För integrering kan du partialbråksutveckla bråket.

Svara
Close