Studsboll

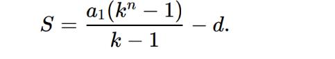
Facit sa att formeln var 

Men är det inte mer logiskt att formeln är (om man tar hänsyn till fallet):
Min formel ger rätt svar, men det jag undrar över är om den är rätt och kan användas i liknande frågor framöver?
Som både du och facit insett så beskriver man det som en summa av på varandra följande studsar, där varje studs-term ges av sträckan som färdats under just den studsen.
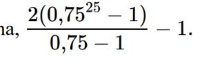
Så som facit har räknat är att den beskriver sträckan som färdas under en studs som sträckan från studsen till nästa studs. Mao. är första studsen feluträknad eftersom den studsen i själva verket bara är fallsträckan efter att den nått sin högsta punkt på en meter. Detta kompenserar dem genom att subtrahera bort 1 från summan.
Du har istället räknat med att första studsen är efter att bollen tar i backen för första gången. Och du lägger sedan till 1 i slutet för att lägga till den första fallsträckan.
Vilket sätt som är mest logiskt kan man debattera, och på ett intuitivt plan skulle jag hävda att din formulering är mer logisk, men på ett matematiskt plan så skulle man i så fall kunna uttrycka det som att sträckan är 1+2*0,75+2*0,75*0,75+[resterande termer med hjälp av formeln i form av en kvot] och i sådant fall vill man nog uttrycka så mycket som möjligt med hjälp av summationsformeln, så på det matematiska planet tror jag att facits lösning är mer logisk.
Bedinsis skrev:Som både du och facit insett så beskriver man det som en summa av på varandra följande studsar, där varje studs-term ges av sträckan som färdats under just den studsen.
Så som facit har räknat är att den beskriver sträckan som färdas under en studs som sträckan från studsen till nästa studs. Mao. är första studsen feluträknad eftersom den studsen i själva verket bara är fallsträckan efter att den nått sin högsta punkt på en meter. Detta kompenserar dem genom att subtrahera bort 1 från summan.
Du har istället räknat med att första studsen är efter att bollen tar i backen för första gången. Och du lägger sedan till 1 i slutet för att lägga till den första fallsträckan.
Vilket sätt som är mest logiskt kan man debattera, och på ett intuitivt plan skulle jag hävda att din formulering är mer logisk, men på ett matematiskt plan så skulle man i så fall kunna uttrycka det som att sträckan är 1+2*0,75+2*0,75*0,75+[resterande termer med hjälp av formeln i form av en kvot] och i sådant fall vill man nog uttrycka så mycket som möjligt med hjälp av summationsformeln, så på det matematiska planet tror jag att facits lösning är mer logisk.
Tack